Cl2N2Ti2
MatHub2d-1362-Cl2N2Ti2
| Property |
Value |
| Space group |
(59, 'Pmmn') |
| Crystal system |
rectangular |
| Magnetic |
No |
| Band gap (PBE) (eV) |
1.27 |
| Free energy (eV) |
-39.265 |
| Free energy / atom (eV) |
-6.544 |
Lattice Parameters (basic)
| a, b, c (Å): | 3.274 | 3.956 | 30.000 |
| α, β, γ (°): | 90.000 | 90.000 | 90.000 |
Lattice Parameters (computed)
| a, b, c (Å): | 3.309 | 4.013 | 30.000 |
| α, β, γ (°): | 90.000 | 90.000 | 90.000 |
| Property |
Value |
| Band gap |
1.27 eV |
| E-fermi |
-3.506 eV |
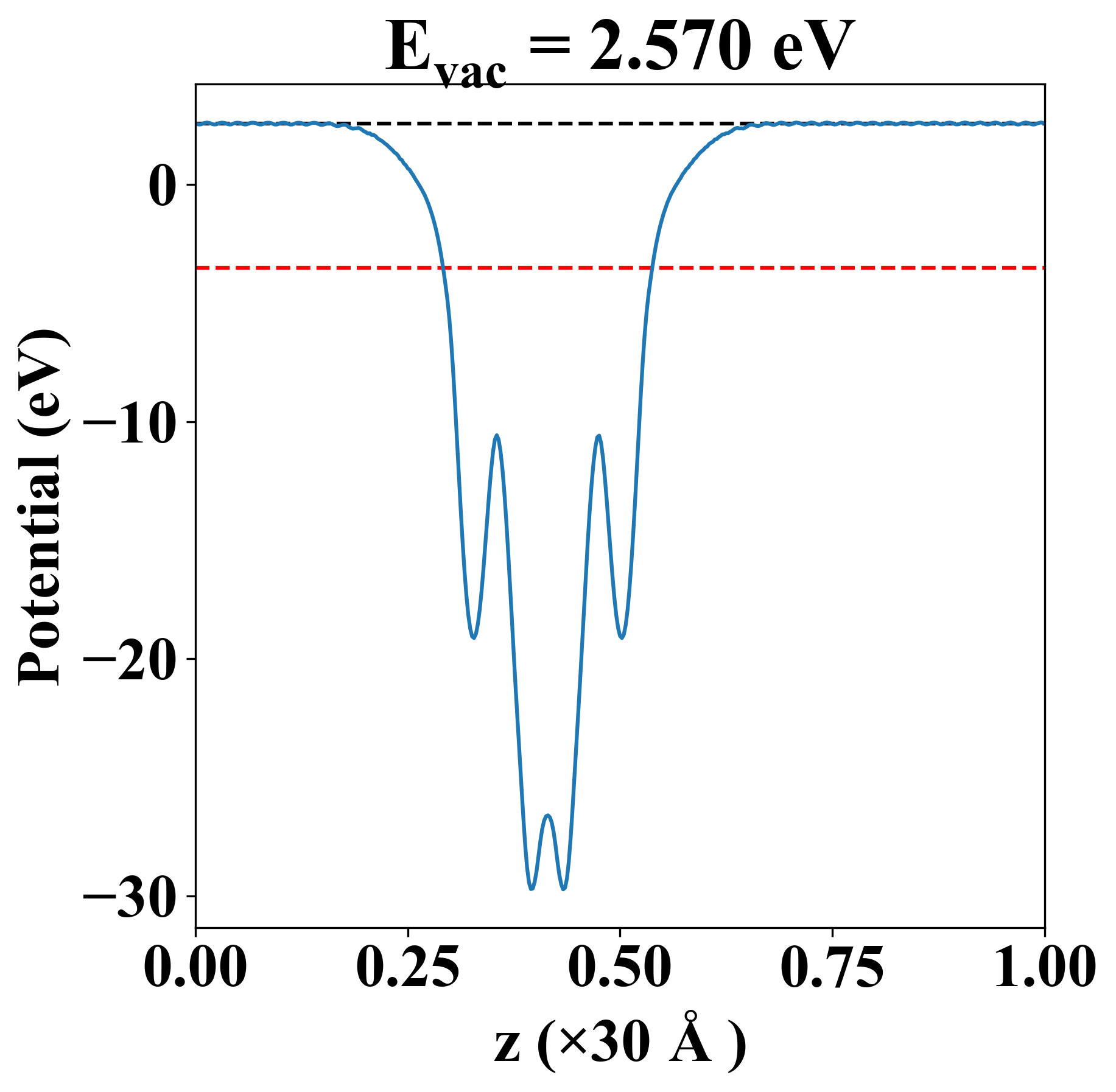
| Vacuum level |
2.570 eV |
| VBM |
-3.807 eV |
| CBM |
-2.541 eV |
| Work function |
6.076 eV |
| Direct gap |
Yes |
| Property |
Value |
| Band gap |
1.26 eV |
| E-fermi |
-3.391 eV |
| VBM |
-3.807 eV |
| CBM |
-2.544 eV |
| Free energy (eV) |
-39.278 |
| Free energy / atom (eV) |
-6.546 |
| Property |
Value |
| Band gap |
1.27 eV |
| E-fermi |
-3.506 eV |
| Vacuum level |
2.570 eV |
| VBM |
-3.807 eV |
| CBM |
-2.541 eV |
| Work function |
6.076 eV |
| Cij (N/m) |
xx |
yy |
xy |
| xx |
147.792 |
40.290 |
0.000 |
| yy |
40.290 |
136.069 |
0.000 |
| xy |
0.000 |
0.000 |
65.432 |
| Phonon mode at Γ point (THz) |
| Property |
Value |
| from where |
c2db-380 |