Cl2N2Ta2
MatHub2d-1361-Cl2N2Ta2
| Property |
Value |
| Space group |
(59, 'Pmmn') |
| Crystal system |
rectangular |
| Magnetic |
No |
| Band gap (PBE) (eV) |
0.00 |
| Free energy (eV) |
-47.448 |
| Free energy / atom (eV) |
-7.908 |
Lattice Parameters (basic)
| a, b, c (Å): | 3.333 | 4.214 | 30.000 |
| α, β, γ (°): | 90.000 | 90.000 | 90.000 |
Lattice Parameters (computed)
| a, b, c (Å): | 3.364 | 4.257 | 30.000 |
| α, β, γ (°): | 90.000 | 90.000 | 90.000 |
| Property |
Value |
| Band gap |
0.00 eV |
| E-fermi |
-2.393 eV |
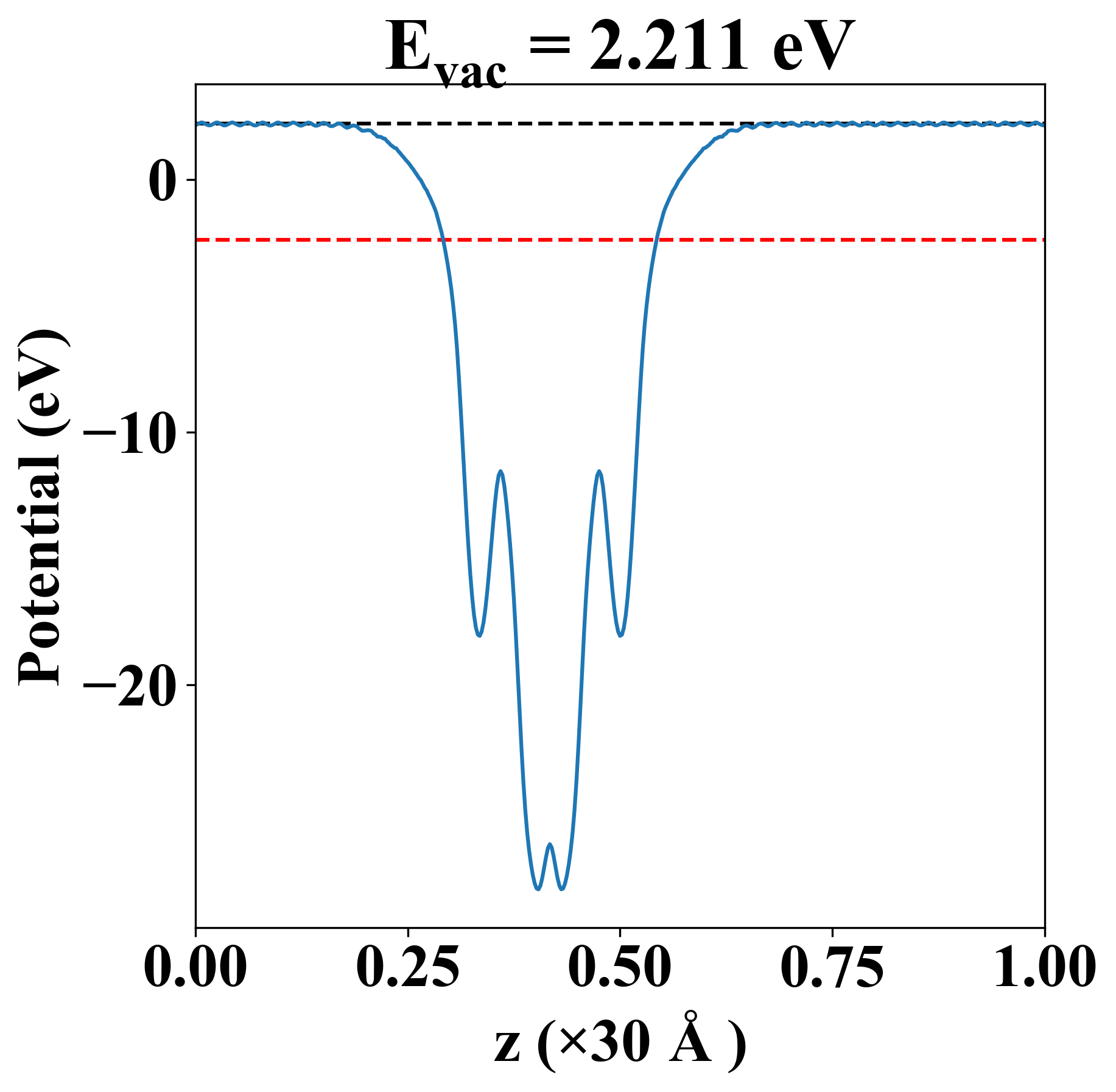
| Vacuum level |
2.211 eV |
| VBM |
-2.394 eV |
| CBM |
-2.392 eV |
| Work function |
4.604 eV |
| Direct gap |
No |
| Property |
Value |
| Band gap |
0.00 eV |
| E-fermi |
-2.393 eV |
| Vacuum level |
2.211 eV |
| VBM |
-2.394 eV |
| CBM |
-2.392 eV |
| Work function |
4.604 eV |
| Cij (N/m) |
xx |
yy |
xy |
| xx |
142.974 |
-5.159 |
0.000 |
| yy |
-5.159 |
182.975 |
0.000 |
| xy |
0.000 |
0.000 |
45.142 |
| Phonon mode at Γ point (THz) |
| Property |
Value |
| from where |
c2db-367 |