Cl2N2Sn2
MatHub2d-1360-Cl2N2Sn2
| Property |
Value |
| Space group |
(59, 'Pmmn') |
| Crystal system |
rectangular |
| Magnetic |
No |
| Band gap (PBE) (eV) |
1.88 |
| Free energy (eV) |
-30.440 |
| Free energy / atom (eV) |
-5.073 |
Lattice Parameters (basic)
| a, b, c (Å): | 3.506 | 4.189 | 30.000 |
| α, β, γ (°): | 90.000 | 90.000 | 90.000 |
Lattice Parameters (computed)
| a, b, c (Å): | 3.452 | 4.123 | 30.000 |
| α, β, γ (°): | 90.000 | 90.000 | 90.000 |
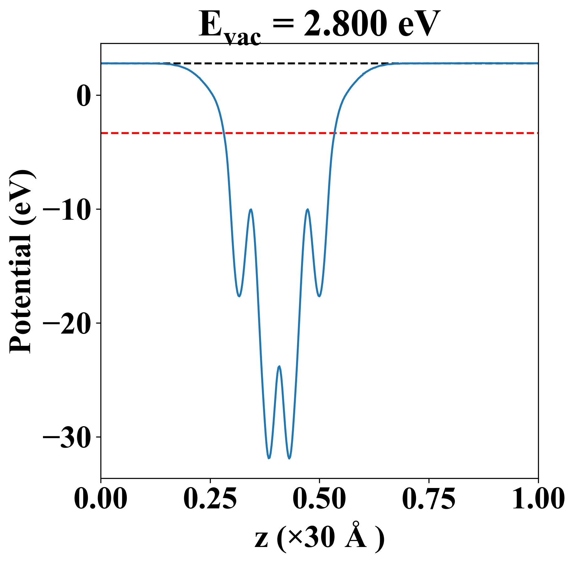
| Property |
Value |
| Band gap |
1.88 eV |
| E-fermi |
-3.334 eV |
| Vacuum level |
2.800 eV |
| VBM |
-3.667 eV |
| CBM |
-1.787 eV |
| Work function |
6.134 eV |
| Direct gap |
Yes |
| Property |
Value |
| Band gap |
1.88 eV |
| E-fermi |
-3.426 eV |
| VBM |
-3.672 eV |
| CBM |
-1.792 eV |
| Free energy (eV) |
-30.524 |
| Free energy / atom (eV) |
-5.087 |
| Property |
Value |
| Band gap |
1.88 eV |
| E-fermi |
-3.334 eV |
| Vacuum level |
2.800 eV |
| VBM |
-3.667 eV |
| CBM |
-1.787 eV |
| Work function |
6.134 eV |
| Cij (N/m) |
xx |
yy |
xy |
| xx |
126.090 |
35.226 |
0.000 |
| yy |
35.226 |
140.932 |
0.000 |
| xy |
0.000 |
0.000 |
60.507 |
| Phonon mode at Γ point (THz) |
| Carrier type |
C2D (N/m) |
Edef (eV) |
μ (cm2V-1s-1) |
| x |
y |
x |
y |
x |
y |
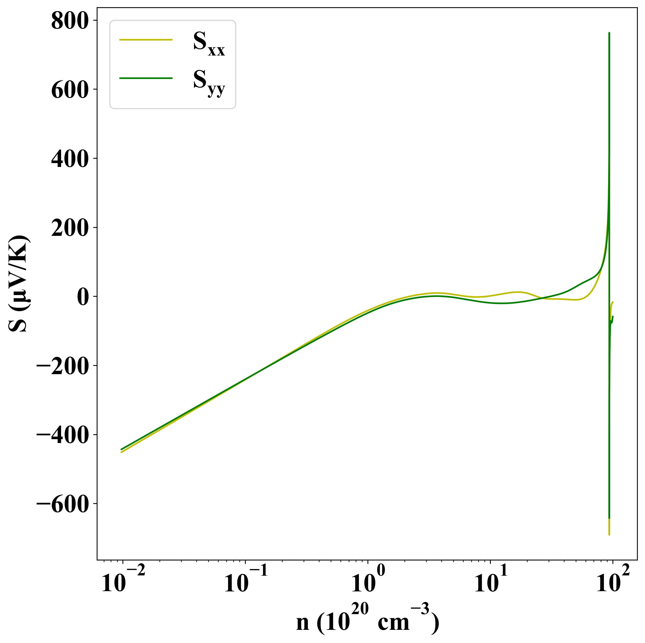
| hole |
125.29 |
128.35 |
-4.24 |
-4.40 |
-238.17 |
-35.84 |
| electron |
-9.74 |
-4.77 |
417.58 |
1495.72 |
| Property |
Value |
| from where |
c2db-356 |