Cl2N2Sc2
MatHub2d-1359-Cl2N2Sc2
| Property |
Value |
| Space group |
(59, 'Pmmn') |
| Crystal system |
rectangular |
| Magnetic |
|
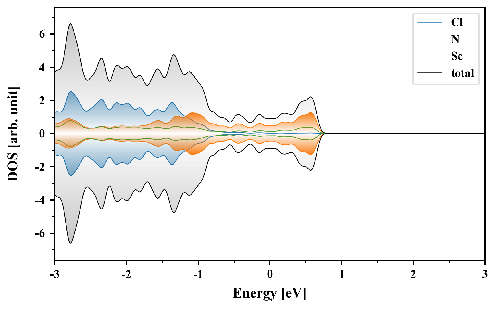
| Band gap (PBE) (eV) |
0.00 |
| Free energy (eV) |
-37.862 |
| Free energy / atom (eV) |
-6.310 |
Lattice Parameters (basic)
| a, b, c (Å): | 3.478 | 3.755 | 30.000 |
| α, β, γ (°): | 90.000 | 90.000 | 90.000 |
Lattice Parameters (computed)
| a, b, c (Å): | 3.530 | 3.831 | 30.000 |
| α, β, γ (°): | 90.000 | 90.000 | 90.000 |
| Property |
Value |
| Band gap |
0.00 eV |
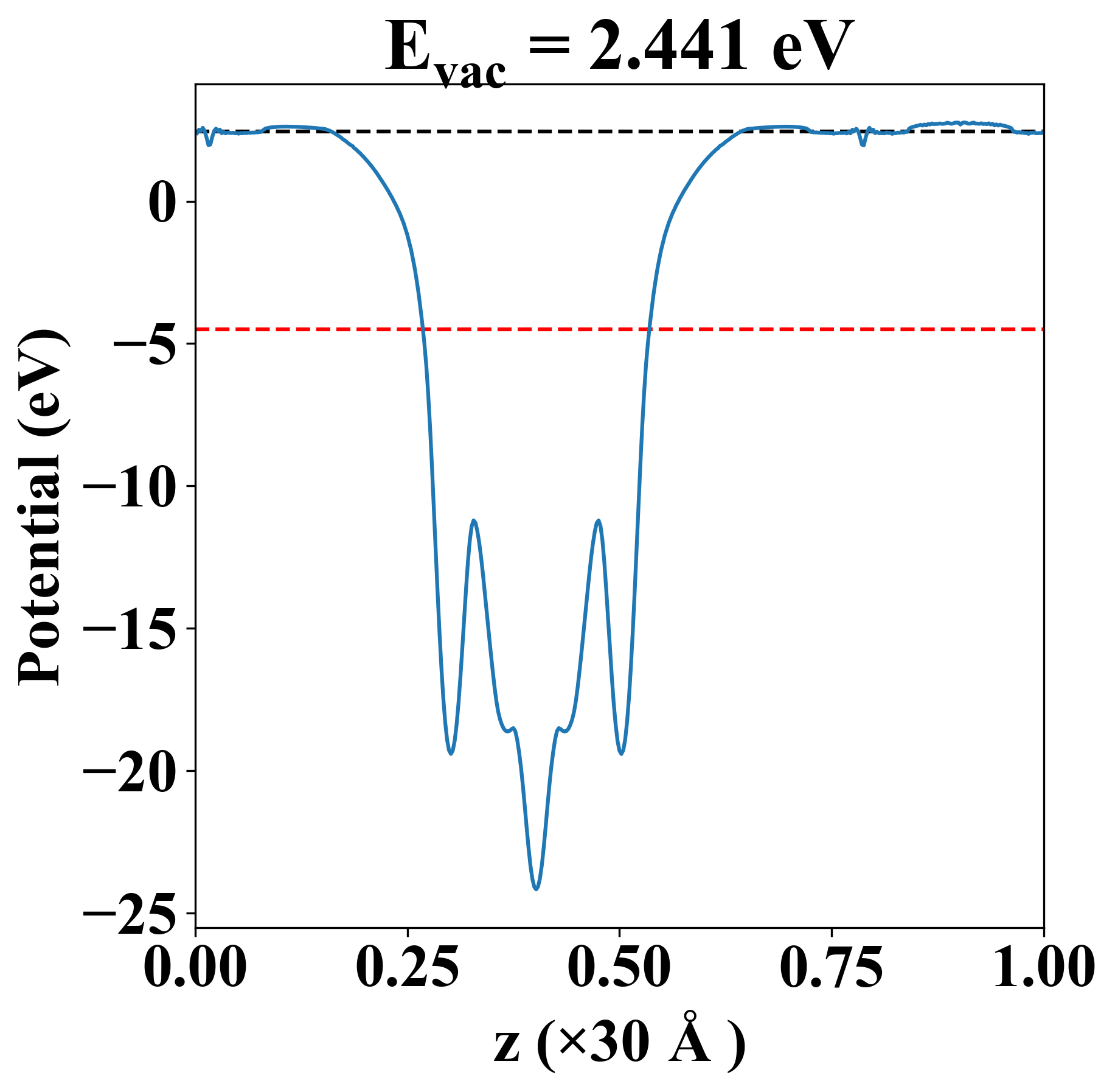
| E-fermi |
-4.491 eV |
| Vacuum level |
2.441 eV |
| VBM |
-4.491 eV |
| CBM |
-4.489 eV |
| Work function |
6.931 eV |
| Direct gap |
No |
| Property |
Value |
| Band gap |
0.00 eV |
| E-fermi |
-4.491 eV |
| Vacuum level |
2.441 eV |
| VBM |
-4.491 eV |
| CBM |
-4.489 eV |
| Work function |
6.931 eV |
| Cij (N/m) |
xx |
yy |
xy |
| xx |
107.966 |
15.798 |
0.000 |
| yy |
15.798 |
66.218 |
0.000 |
| xy |
0.000 |
0.000 |
-19.273 |
| Phonon mode at Γ point (THz) |
| Property |
Value |
| from where |
c2db-344 |