Cl2N2Ru2
MatHub2d-1358-Cl2N2Ru2
| Property |
Value |
| Space group |
(59, 'Pmmn') |
| Crystal system |
rectangular |
| Magnetic |
Yes |
| Band gap (PBE) (eV) |
0.00 |
| Free energy (eV) |
-31.460 |
| Free energy / atom (eV) |
-5.243 |
Lattice Parameters (basic)
| a, b, c (Å): | 3.376 | 3.724 | 30.000 |
| α, β, γ (°): | 90.000 | 90.000 | 90.000 |
Lattice Parameters (computed)
| a, b, c (Å): | 3.362 | 3.805 | 30.000 |
| α, β, γ (°): | 90.000 | 90.000 | 90.000 |
| Property |
Value |
| Band gap |
0.00 eV |
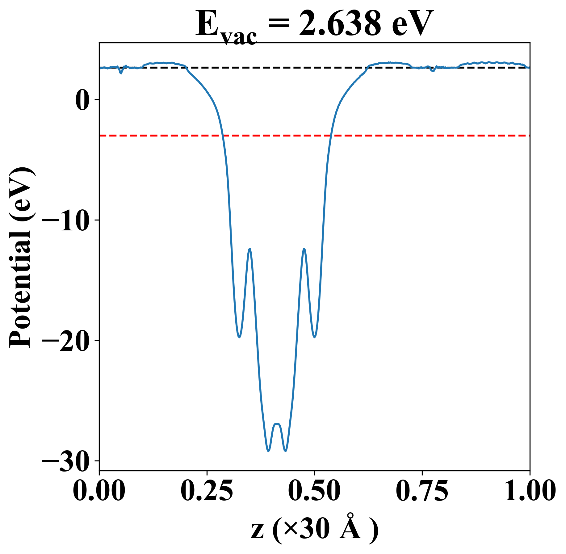
| E-fermi |
-3.004 eV |
| Vacuum level |
2.638 eV |
| VBM |
-3.006 eV |
| CBM |
-3.003 eV |
| Work function |
5.642 eV |
| Direct gap |
No |
| Property |
Value |
| Band gap |
0.00 eV |
| E-fermi |
-3.004 eV |
| Vacuum level |
2.638 eV |
| VBM |
-3.006 eV |
| CBM |
-3.003 eV |
| Work function |
5.642 eV |
| Cij (N/m) |
xx |
yy |
xy |
| xx |
132.338 |
27.055 |
0.000 |
| yy |
27.055 |
48.152 |
0.000 |
| xy |
0.000 |
0.000 |
1.819 |
| Phonon mode at Γ point (THz) |
| Property |
Value |
| from where |
c2db-329 |