Cl2N2Rh2
MatHub2d-1357-Cl2N2Rh2
| Property |
Value |
| Space group |
(59, 'Pmmn') |
| Crystal system |
rectangular |
| Magnetic |
No |
| Band gap (PBE) (eV) |
0.03 |
| Free energy (eV) |
-27.999 |
| Free energy / atom (eV) |
-4.666 |
Lattice Parameters (basic)
| a, b, c (Å): | 3.267 | 3.740 | 30.000 |
| α, β, γ (°): | 90.000 | 90.000 | 90.000 |
Lattice Parameters (computed)
| a, b, c (Å): | 3.264 | 3.699 | 30.000 |
| α, β, γ (°): | 90.000 | 90.000 | 90.000 |
| Property |
Value |
| Band gap |
0.03 eV |
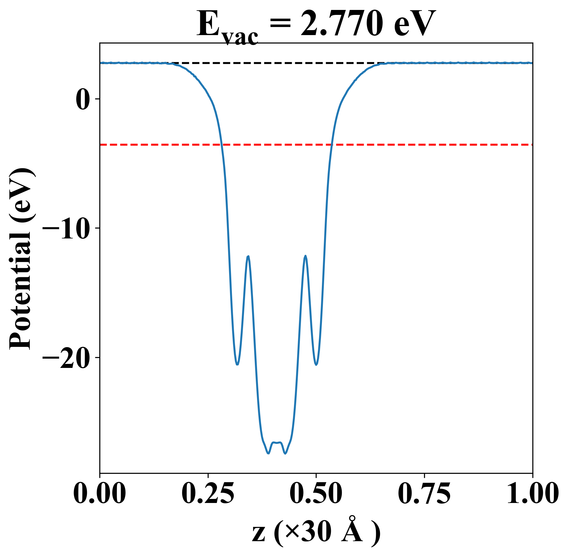
| E-fermi |
-3.548 eV |
| Vacuum level |
2.770 eV |
| VBM |
-3.554 eV |
| CBM |
-3.528 eV |
| Work function |
6.318 eV |
| Direct gap |
No |
| Property |
Value |
| Band gap |
0.03 eV |
| E-fermi |
-3.548 eV |
| Vacuum level |
2.770 eV |
| VBM |
-3.554 eV |
| CBM |
-3.528 eV |
| Work function |
6.318 eV |
| Cij (N/m) |
xx |
yy |
xy |
| xx |
121.041 |
22.816 |
0.000 |
| yy |
22.816 |
157.998 |
0.000 |
| xy |
0.000 |
0.000 |
35.497 |
| Phonon mode at Γ point (THz) |
| Property |
Value |
| from where |
c2db-317 |