Cl2N2Pt2
MatHub2d-1356-Cl2N2Pt2
| Property |
Value |
| Space group |
(59, 'Pmmn') |
| Crystal system |
rectangular |
| Magnetic |
No |
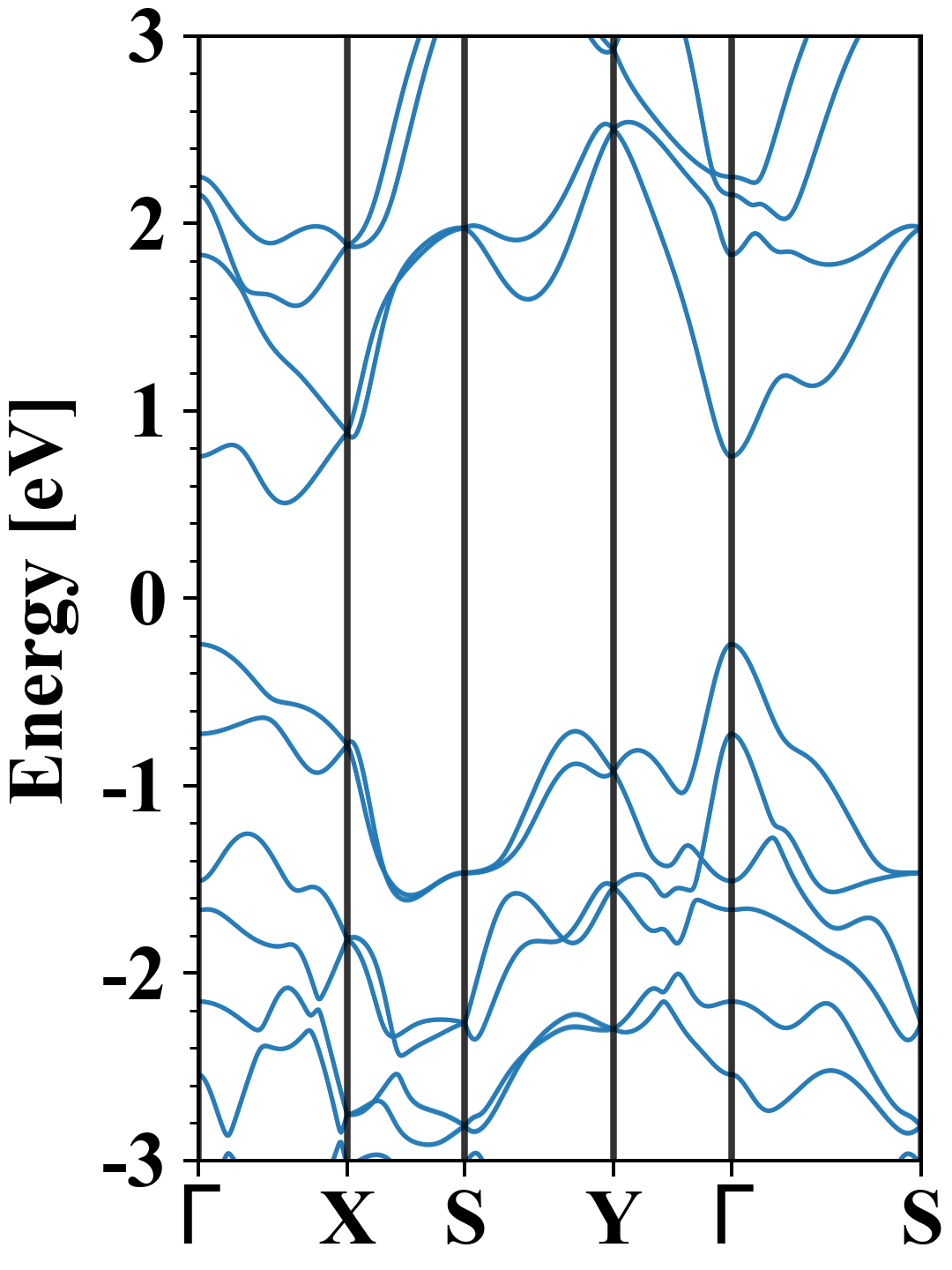
| Band gap (PBE) (eV) |
0.61 |
| Free energy (eV) |
-26.751 |
| Free energy / atom (eV) |
-4.458 |
Lattice Parameters (basic)
| a, b, c (Å): | 3.221 | 4.073 | 30.000 |
| α, β, γ (°): | 90.000 | 90.000 | 90.000 |
Lattice Parameters (computed)
| a, b, c (Å): | 3.204 | 4.056 | 30.000 |
| α, β, γ (°): | 90.000 | 90.000 | 90.000 |
| Property |
Value |
| Band gap |
0.61 eV |
| E-fermi |
-3.142 eV |
| Vacuum level |
2.666 eV |
| VBM |
-3.434 eV |
| CBM |
-2.820 eV |
| Work function |
5.808 eV |
| Direct gap |
No |
| Property |
Value |
| Band gap |
0.75 eV |
| E-fermi |
-3.214 eV |
| VBM |
-3.459 eV |
| CBM |
-2.706 eV |
| Free energy (eV) |
-27.594 |
| Free energy / atom (eV) |
-4.599 |
| Property |
Value |
| Band gap |
0.61 eV |
| E-fermi |
-3.142 eV |
| Vacuum level |
2.666 eV |
| VBM |
-3.434 eV |
| CBM |
-2.820 eV |
| Work function |
5.808 eV |
| Cij (N/m) |
xx |
yy |
xy |
| xx |
122.015 |
11.877 |
0.000 |
| yy |
11.877 |
251.158 |
0.000 |
| xy |
0.000 |
0.000 |
35.020 |
| Phonon mode at Γ point (THz) |
| Property |
Value |
| from where |
c2db-305 |