Cl2N2Pd2
MatHub2d-1355-Cl2N2Pd2
| Property |
Value |
| Space group |
(59, 'Pmmn') |
| Crystal system |
rectangular |
| Magnetic |
|
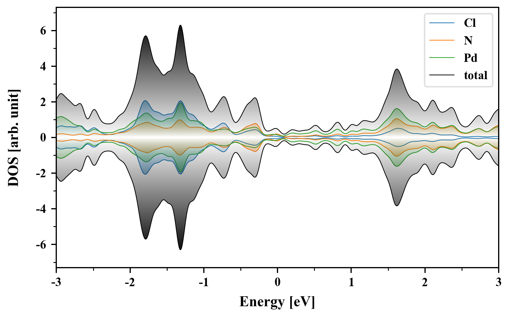
| Band gap (PBE) (eV) |
0.00 |
| Free energy (eV) |
-24.151 |
| Free energy / atom (eV) |
-4.025 |
Lattice Parameters (basic)
| a, b, c (Å): | 3.195 | 4.064 | 30.000 |
| α, β, γ (°): | 90.000 | 90.000 | 90.000 |
Lattice Parameters (computed)
| a, b, c (Å): | 3.162 | 4.020 | 30.000 |
| α, β, γ (°): | 90.000 | 90.000 | 90.000 |
| Property |
Value |
| Band gap |
0.00 eV |
| E-fermi |
-3.963 eV |
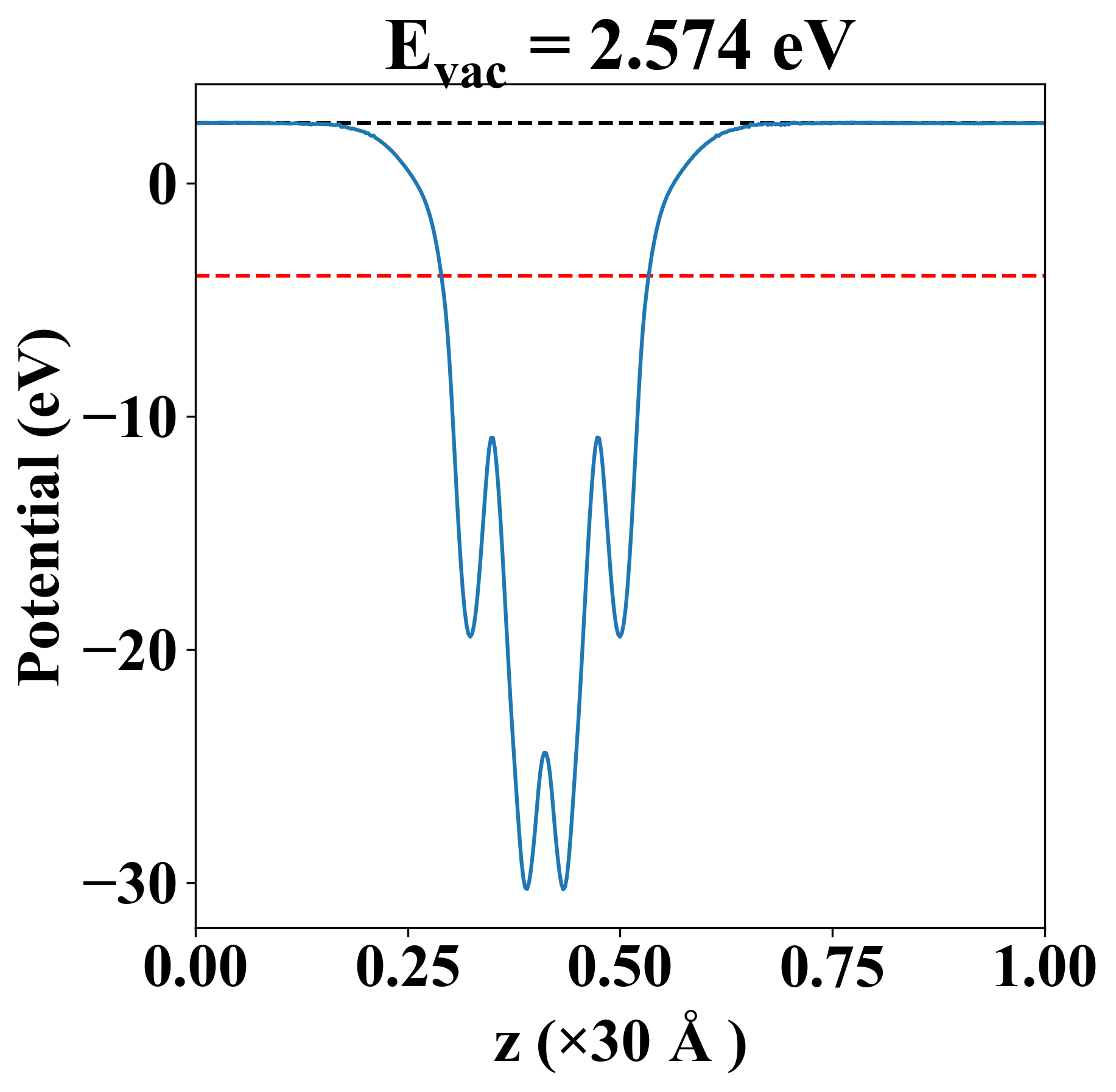
| Vacuum level |
2.574 eV |
| VBM |
-3.963 eV |
| CBM |
-3.963 eV |
| Work function |
6.537 eV |
| Direct gap |
No |
| Property |
Value |
| Band gap |
0.00 eV |
| E-fermi |
-3.963 eV |
| Vacuum level |
2.574 eV |
| VBM |
-3.963 eV |
| CBM |
-3.963 eV |
| Work function |
6.537 eV |
| Cij (N/m) |
xx |
yy |
xy |
| xx |
109.612 |
13.227 |
0.000 |
| yy |
13.227 |
205.655 |
0.000 |
| xy |
0.000 |
0.000 |
26.959 |
| Phonon mode at Γ point (THz) |
| -0.004 |
| -0.001 |
| 0.001 |
| 1.888 |
| 2.540 |
| 4.260 |
| 5.174 |
| 6.602 |
| 7.528 |
| 7.766 |
| 9.195 |
| 9.536 |
| 14.763 |
| 16.094 |
| 16.885 |
| 16.992 |
| 18.112 |
| 18.120 |
| Property |
Value |
| from where |
c2db-293 |