Cl2N2Pb2
MatHub2d-1354-Cl2N2Pb2
| Property |
Value |
| Space group |
(59, 'Pmmn') |
| Crystal system |
rectangular |
| Magnetic |
No |
| Band gap (PBE) (eV) |
0.00 |
| Free energy (eV) |
-25.439 |
| Free energy / atom (eV) |
-4.240 |
Lattice Parameters (basic)
| a, b, c (Å): | 3.764 | 4.291 | 30.000 |
| α, β, γ (°): | 90.000 | 90.000 | 90.000 |
Lattice Parameters (computed)
| a, b, c (Å): | 3.789 | 4.295 | 30.000 |
| α, β, γ (°): | 90.000 | 90.000 | 90.000 |
| Property |
Value |
| Band gap |
0.00 eV |
| E-fermi |
-4.250 eV |
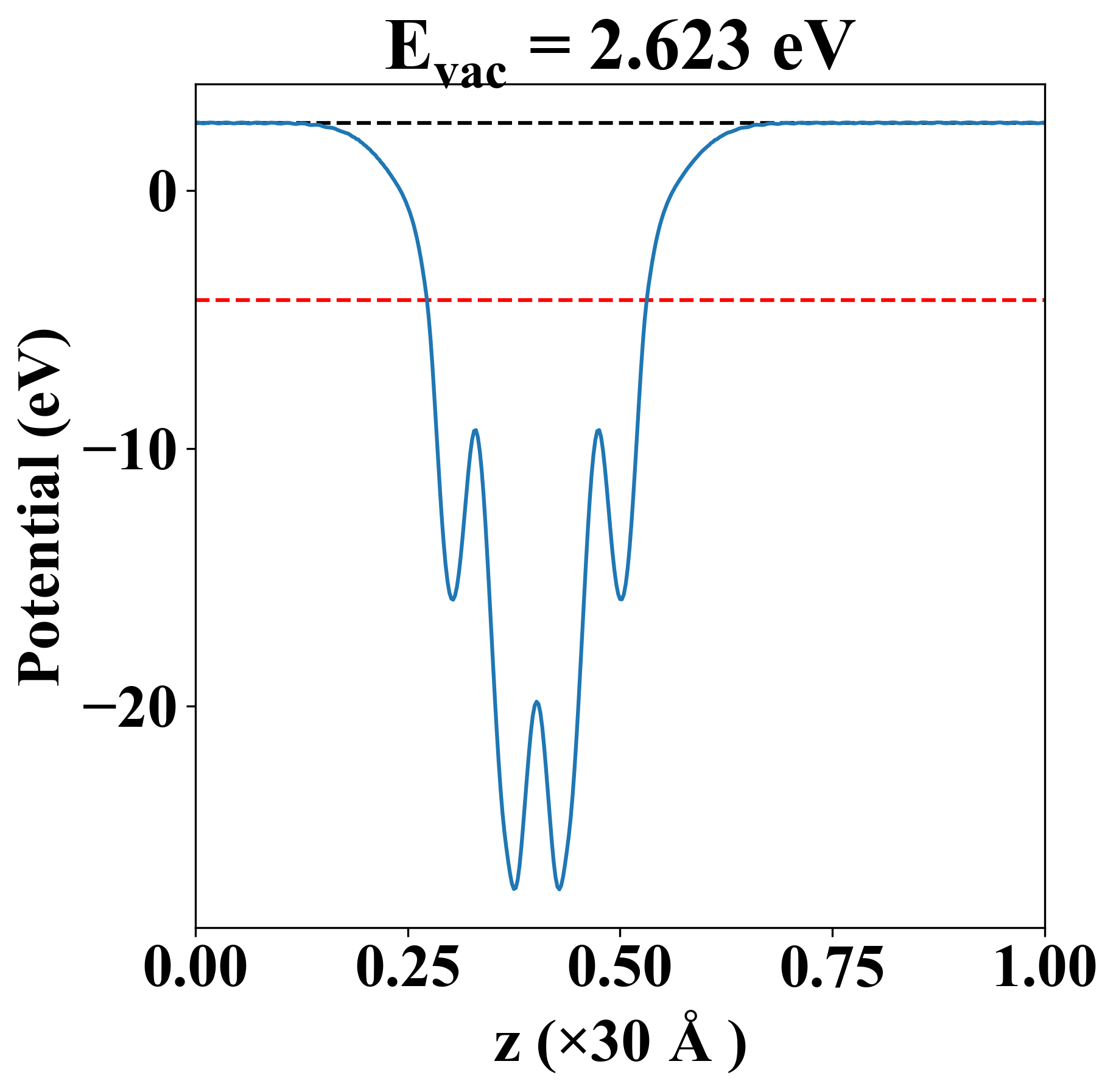
| Vacuum level |
2.623 eV |
| VBM |
-4.252 eV |
| CBM |
-4.249 eV |
| Work function |
6.872 eV |
| Direct gap |
No |
| Property |
Value |
| Band gap |
0.00 eV |
| E-fermi |
-4.250 eV |
| Vacuum level |
2.623 eV |
| VBM |
-4.252 eV |
| CBM |
-4.249 eV |
| Work function |
6.872 eV |
| Cij (N/m) |
xx |
yy |
xy |
| xx |
64.713 |
28.869 |
0.000 |
| yy |
28.869 |
59.845 |
0.000 |
| xy |
0.000 |
0.000 |
27.715 |
| Phonon mode at Γ point (THz) |
| -0.016 |
| -0.005 |
| -0.003 |
| 1.842 |
| 1.884 |
| 2.070 |
| 2.692 |
| 2.861 |
| 3.090 |
| 3.098 |
| 6.987 |
| 7.008 |
| 8.165 |
| 11.123 |
| 11.434 |
| 12.543 |
| 14.286 |
| 18.368 |
| Property |
Value |
| from where |
c2db-281 |