Cl2N2Os2
MatHub2d-1353-Cl2N2Os2
| Property |
Value |
| Space group |
(59, 'Pmmn') |
| Crystal system |
rectangular |
| Magnetic |
Yes |
| Band gap (PBE) (eV) |
0.00 |
| Free energy (eV) |
-35.297 |
| Free energy / atom (eV) |
-5.883 |
Lattice Parameters (basic)
| a, b, c (Å): | 3.437 | 3.590 | 30.000 |
| α, β, γ (°): | 90.000 | 90.000 | 90.000 |
Lattice Parameters (computed)
| a, b, c (Å): | 3.276 | 3.717 | 30.000 |
| α, β, γ (°): | 90.000 | 90.000 | 90.000 |
| Property |
Value |
| Band gap |
0.00 eV |
| E-fermi |
-2.960 eV |
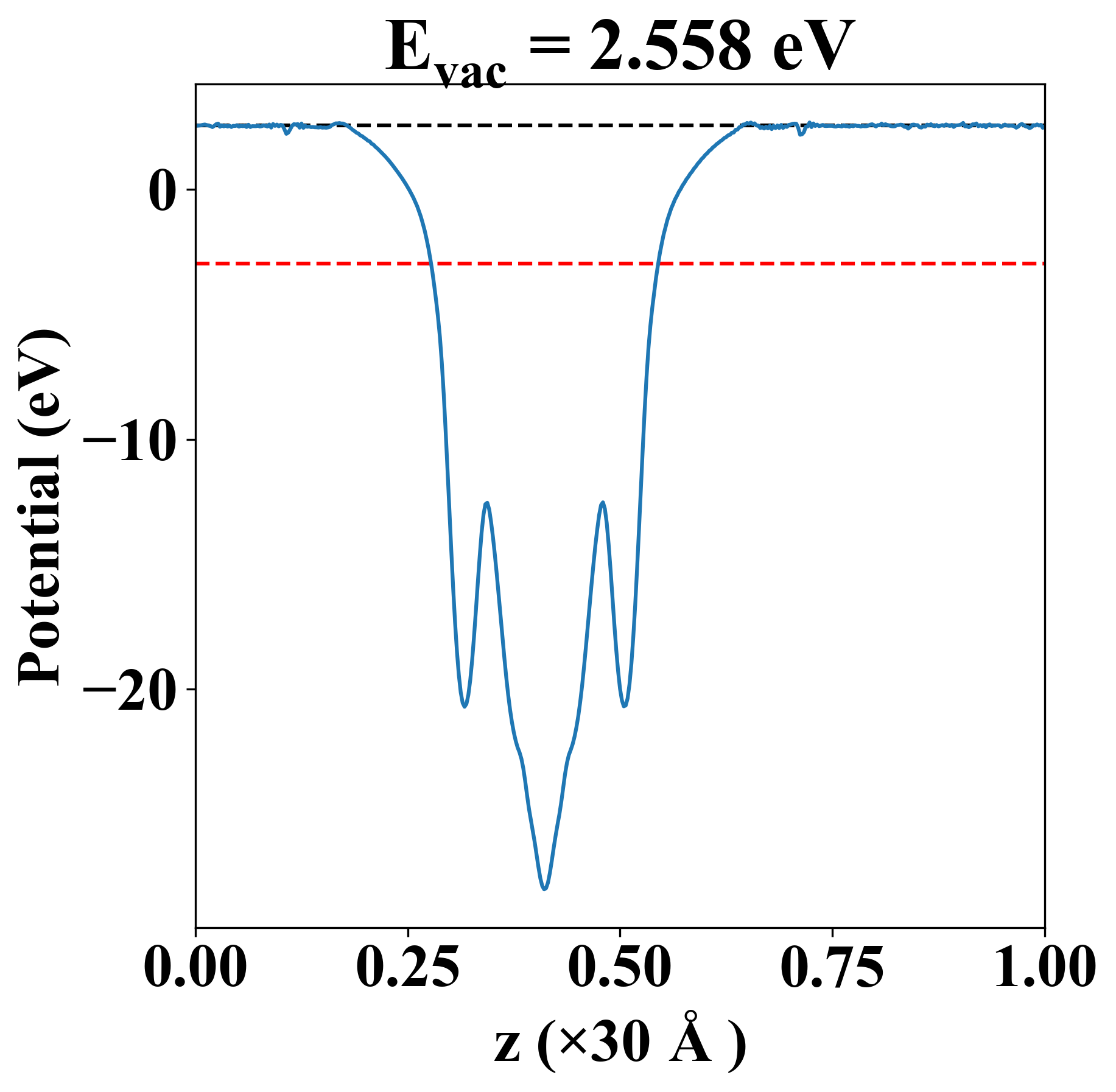
| Vacuum level |
2.558 eV |
| VBM |
-2.962 eV |
| CBM |
-2.956 eV |
| Work function |
5.518 eV |
| Direct gap |
No |
| Property |
Value |
| Band gap |
0.00 eV |
| E-fermi |
-2.960 eV |
| Vacuum level |
2.558 eV |
| VBM |
-2.962 eV |
| CBM |
-2.956 eV |
| Work function |
5.518 eV |
| Cij (N/m) |
xx |
yy |
xy |
| xx |
-513.019 |
-95.885 |
0.000 |
| yy |
-95.885 |
64.540 |
0.000 |
| xy |
0.000 |
0.000 |
1.793 |
| Phonon mode at Γ point (THz) |
| -2.882 |
| -0.016 |
| -0.006 |
| -0.003 |
| 1.423 |
| 1.771 |
| 3.074 |
| 3.098 |
| 4.975 |
| 5.638 |
| 6.800 |
| 8.135 |
| 8.643 |
| 10.389 |
| 10.651 |
| 10.697 |
| 12.751 |
| 16.138 |
| Property |
Value |
| from where |
c2db-269 |