Cl2N2Nb2
MatHub2d-1351-Cl2N2Nb2
| Property |
Value |
| Space group |
(59, 'Pmmn') |
| Crystal system |
rectangular |
| Magnetic |
No |
| Band gap (PBE) (eV) |
0.00 |
| Free energy (eV) |
-44.106 |
| Free energy / atom (eV) |
-7.351 |
Lattice Parameters (basic)
| a, b, c (Å): | 3.359 | 4.274 | 30.000 |
| α, β, γ (°): | 90.000 | 90.000 | 90.000 |
Lattice Parameters (computed)
| a, b, c (Å): | 3.381 | 4.273 | 30.000 |
| α, β, γ (°): | 90.000 | 90.000 | 90.000 |
| Property |
Value |
| Band gap |
0.00 eV |
| E-fermi |
-2.207 eV |
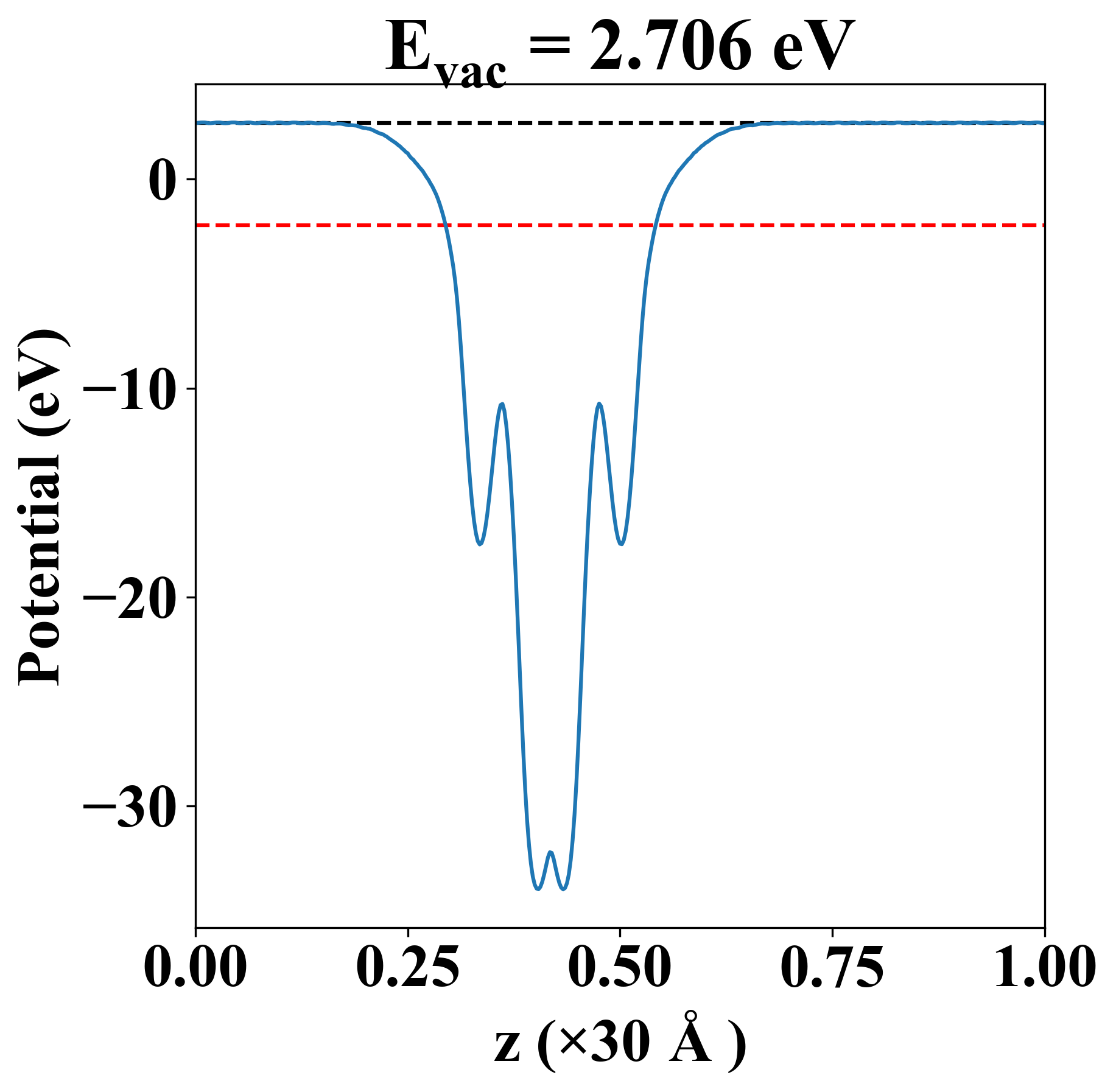
| Vacuum level |
2.706 eV |
| VBM |
-2.208 eV |
| CBM |
-2.206 eV |
| Work function |
4.913 eV |
| Direct gap |
No |
| Property |
Value |
| Band gap |
0.00 eV |
| E-fermi |
-2.207 eV |
| Vacuum level |
2.706 eV |
| VBM |
-2.208 eV |
| CBM |
-2.206 eV |
| Work function |
4.913 eV |
| Cij (N/m) |
xx |
yy |
xy |
| xx |
138.715 |
3.841 |
0.000 |
| yy |
3.841 |
160.597 |
0.000 |
| xy |
0.000 |
0.000 |
45.089 |
| Phonon mode at Γ point (THz) |
| Property |
Value |
| from where |
c2db-241 |