Cl2Mo2Se2
MatHub2d-1350-Cl2Mo2Se2
| Property |
Value |
| Space group |
(59, 'Pmmn') |
| Crystal system |
rectangular |
| Magnetic |
Yes |
| Band gap (PBE) (eV) |
1.05 |
| Free energy (eV) |
-31.470 |
| Free energy / atom (eV) |
-5.245 |
Lattice Parameters (basic)
| a, b, c (Å): | 3.168 | 4.854 | 30.000 |
| α, β, γ (°): | 90.000 | 90.000 | 90.000 |
Lattice Parameters (computed)
| a, b, c (Å): | 3.771 | 5.272 | 30.000 |
| α, β, γ (°): | 90.000 | 90.000 | 90.000 |
| Property |
Value |
| Band gap |
1.05 eV |
| E-fermi |
-3.279 eV |
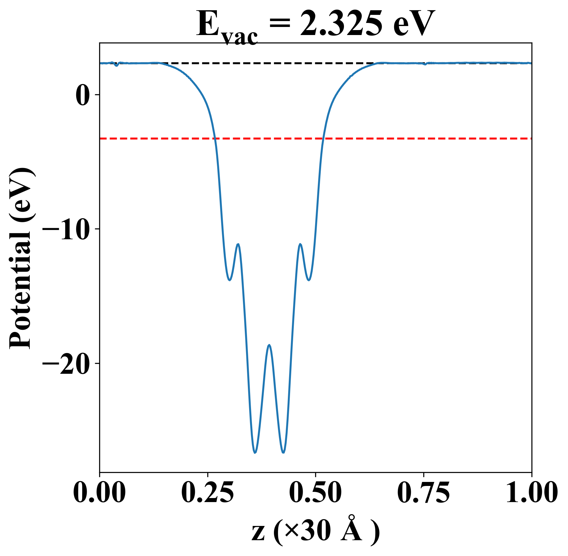
| Vacuum level |
2.325 eV |
| VBM |
-3.551 eV |
| CBM |
-2.505 eV |
| Work function |
5.604 eV |
| Direct gap |
No |
| Property |
Value |
| Band gap |
1.04 eV |
| E-fermi |
-3.301 eV |
| VBM |
-3.559 eV |
| CBM |
-2.515 eV |
| Free energy (eV) |
-31.716 |
| Free energy / atom (eV) |
-5.286 |
| Property |
Value |
| Band gap |
1.05 eV |
| E-fermi |
-3.279 eV |
| Vacuum level |
2.325 eV |
| VBM |
-3.551 eV |
| CBM |
-2.505 eV |
| Work function |
5.604 eV |
| Cij (N/m) |
xx |
yy |
xy |
| xx |
22.737 |
11.308 |
0.000 |
| yy |
11.308 |
74.475 |
0.000 |
| xy |
0.000 |
0.000 |
7.200 |
| Phonon mode at Γ point (THz) |
| -4.757 |
| -2.389 |
| -1.875 |
| -0.007 |
| -0.005 |
| -0.002 |
| 2.164 |
| 2.434 |
| 2.793 |
| 3.497 |
| 3.877 |
| 4.545 |
| 5.160 |
| 5.231 |
| 5.273 |
| 5.378 |
| 6.420 |
| 6.909 |
| Property |
Value |
| from where |
c2db-229 |