Cl2Mo2S2
MatHub2d-1349-Cl2Mo2S2
| Property |
Value |
| Space group |
(59, 'Pmmn') |
| Crystal system |
rectangular |
| Magnetic |
Yes |
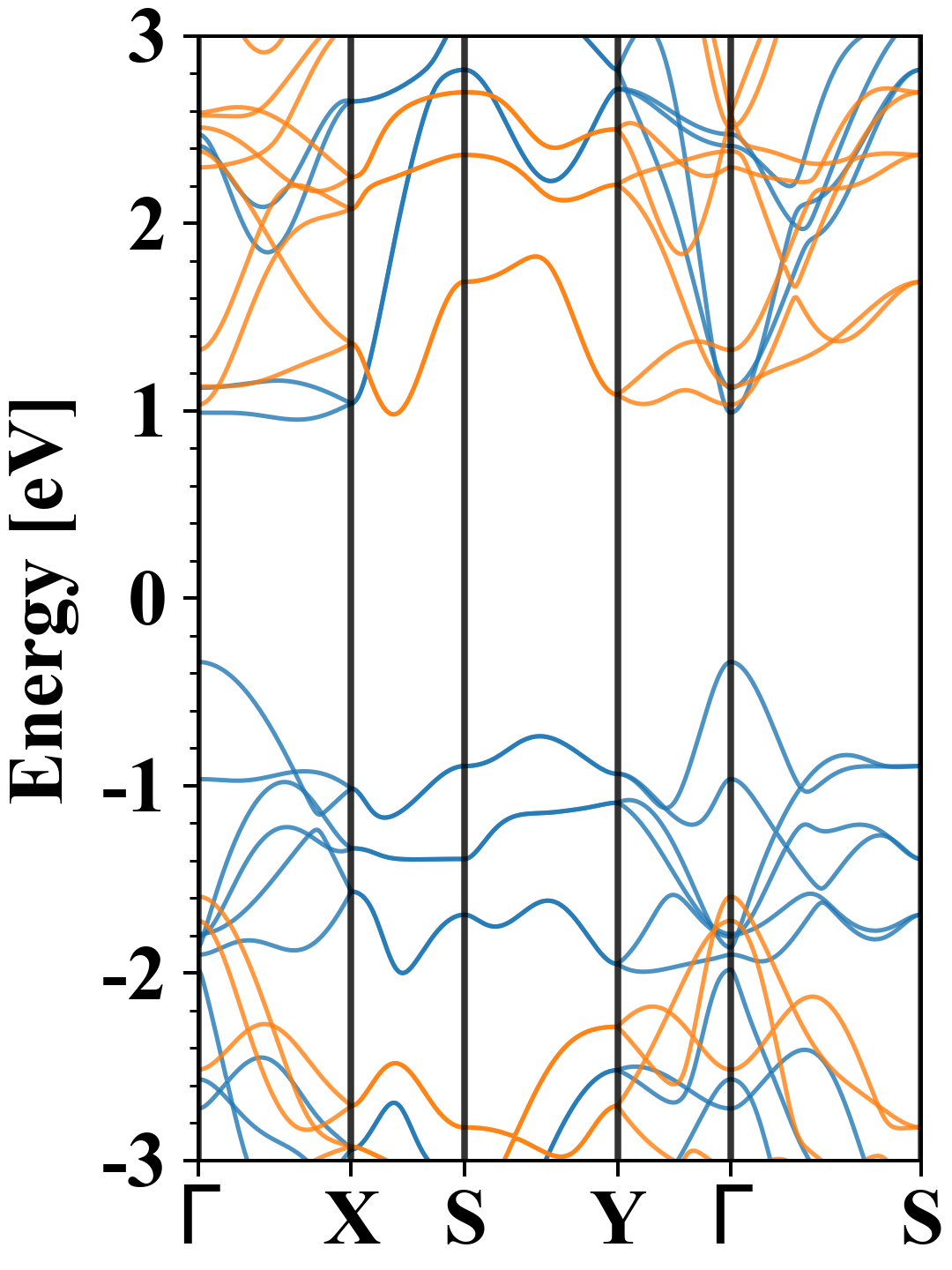
| Band gap (PBE) (eV) |
1.29 |
| Free energy (eV) |
-33.401 |
| Free energy / atom (eV) |
-5.567 |
Lattice Parameters (basic)
| a, b, c (Å): | 3.110 | 4.608 | 30.000 |
| α, β, γ (°): | 90.000 | 90.000 | 90.000 |
Lattice Parameters (computed)
| a, b, c (Å): | 3.692 | 4.994 | 30.000 |
| α, β, γ (°): | 90.000 | 90.000 | 90.000 |
| Property |
Value |
| Band gap |
1.29 eV |
| E-fermi |
-3.020 eV |
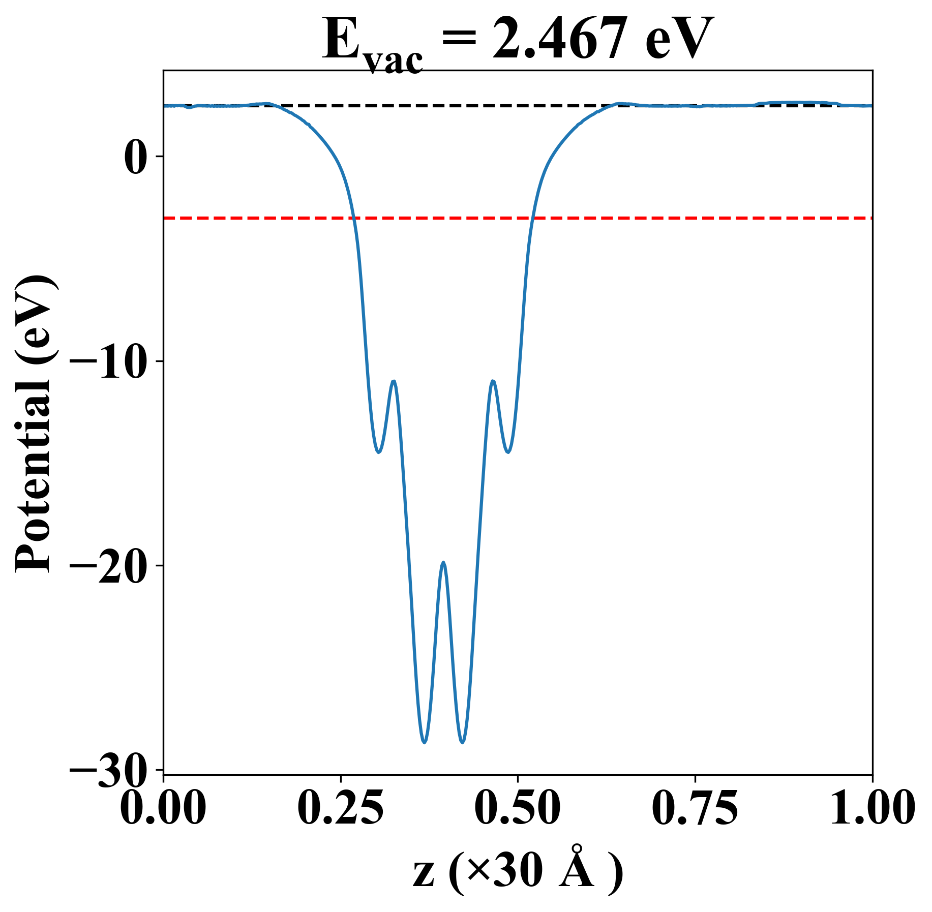
| Vacuum level |
2.467 eV |
| VBM |
-3.360 eV |
| CBM |
-2.067 eV |
| Work function |
5.487 eV |
| Direct gap |
No |
| Property |
Value |
| Band gap |
1.29 eV |
| E-fermi |
-3.159 eV |
| VBM |
-3.375 eV |
| CBM |
-2.087 eV |
| Free energy (eV) |
-33.607 |
| Free energy / atom (eV) |
-5.601 |
| Property |
Value |
| Band gap |
1.29 eV |
| E-fermi |
-3.020 eV |
| Vacuum level |
2.467 eV |
| VBM |
-3.360 eV |
| CBM |
-2.067 eV |
| Work function |
5.487 eV |
| Cij (N/m) |
xx |
yy |
xy |
| xx |
24.508 |
14.980 |
0.000 |
| yy |
14.980 |
82.234 |
0.000 |
| xy |
0.000 |
0.000 |
1.907 |
| Phonon mode at Γ point (THz) |
| Property |
Value |
| from where |
c2db-226 |