Cl2Mo2N2
MatHub2d-1347-Cl2Mo2N2
| Property |
Value |
| Space group |
(59, 'Pmmn') |
| Crystal system |
rectangular |
| Magnetic |
Yes |
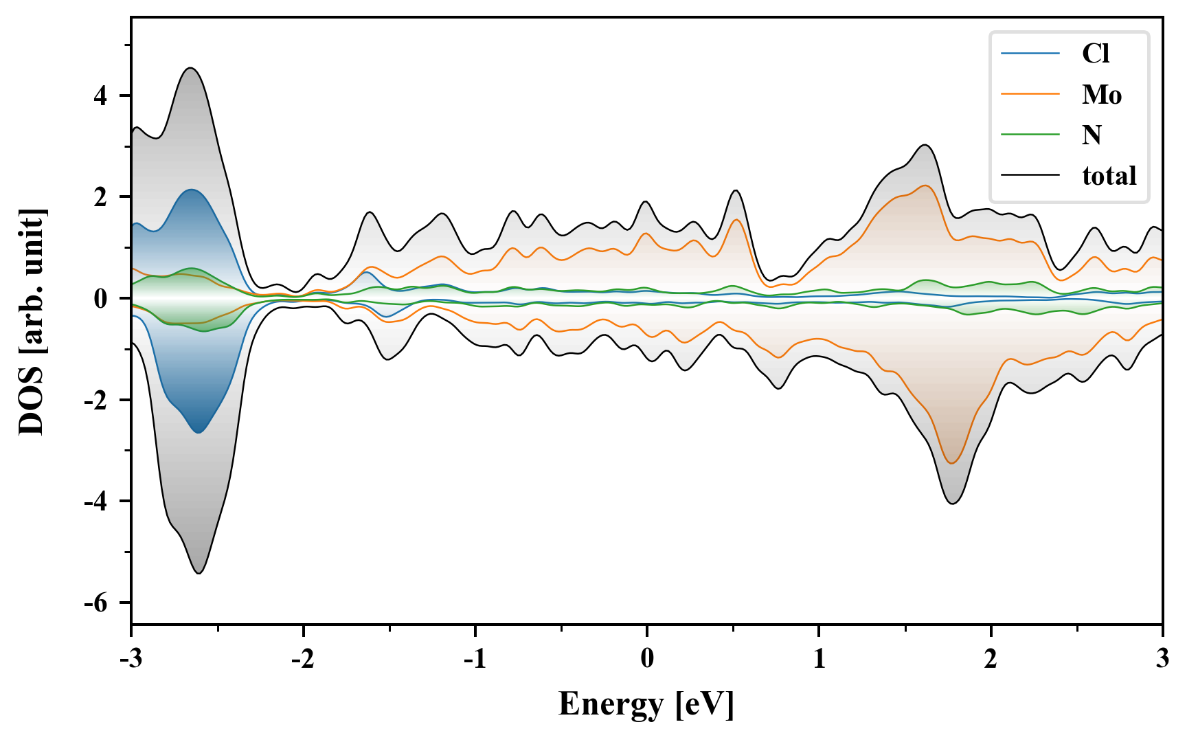
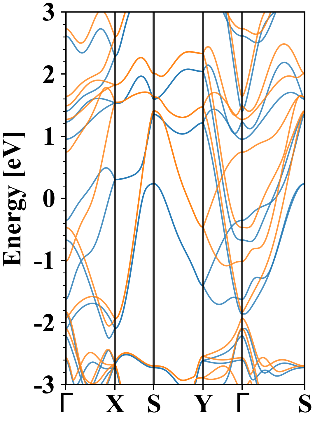
| Band gap (PBE) (eV) |
0.00 |
| Free energy (eV) |
-39.978 |
| Free energy / atom (eV) |
-6.663 |
Lattice Parameters (basic)
| a, b, c (Å): | 3.154 | 4.013 | 30.000 |
| α, β, γ (°): | 90.000 | 90.000 | 90.000 |
Lattice Parameters (computed)
| a, b, c (Å): | 3.164 | 4.020 | 30.000 |
| α, β, γ (°): | 90.000 | 90.000 | 90.000 |
| Property |
Value |
| Band gap |
0.00 eV |
| E-fermi |
-2.616 eV |
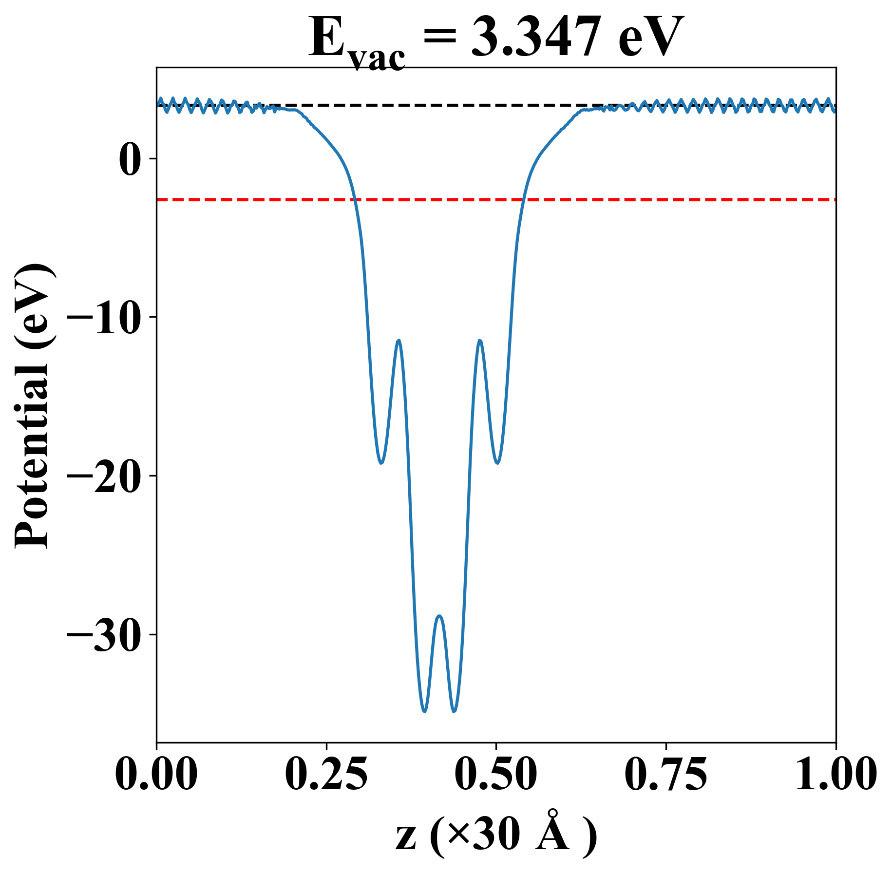
| Vacuum level |
3.347 eV |
| VBM |
-2.619 eV |
| CBM |
-2.614 eV |
| Work function |
5.964 eV |
| Direct gap |
No |
| Property |
Value |
| Band gap |
0.00 eV |
| E-fermi |
-2.616 eV |
| Vacuum level |
3.347 eV |
| VBM |
-2.619 eV |
| CBM |
-2.614 eV |
| Work function |
5.964 eV |
| Cij (N/m) |
xx |
yy |
xy |
| xx |
105.360 |
0.508 |
0.000 |
| yy |
0.508 |
331.976 |
0.000 |
| xy |
0.000 |
0.000 |
37.828 |
| Phonon mode at Γ point (THz) |
| -0.011 |
| -0.008 |
| -0.001 |
| 3.043 |
| 4.586 |
| 4.604 |
| 4.857 |
| 5.424 |
| 5.601 |
| 7.222 |
| 9.220 |
| 9.342 |
| 10.905 |
| 13.508 |
| 15.011 |
| 15.437 |
| 16.021 |
| 19.179 |
| Property |
Value |
| from where |
c2db-224 |