Cl2Mn2Se2
MatHub2d-1346-Cl2Mn2Se2
| Property |
Value |
| Space group |
(59, 'Pmmn') |
| Crystal system |
rectangular |
| Magnetic |
Yes |
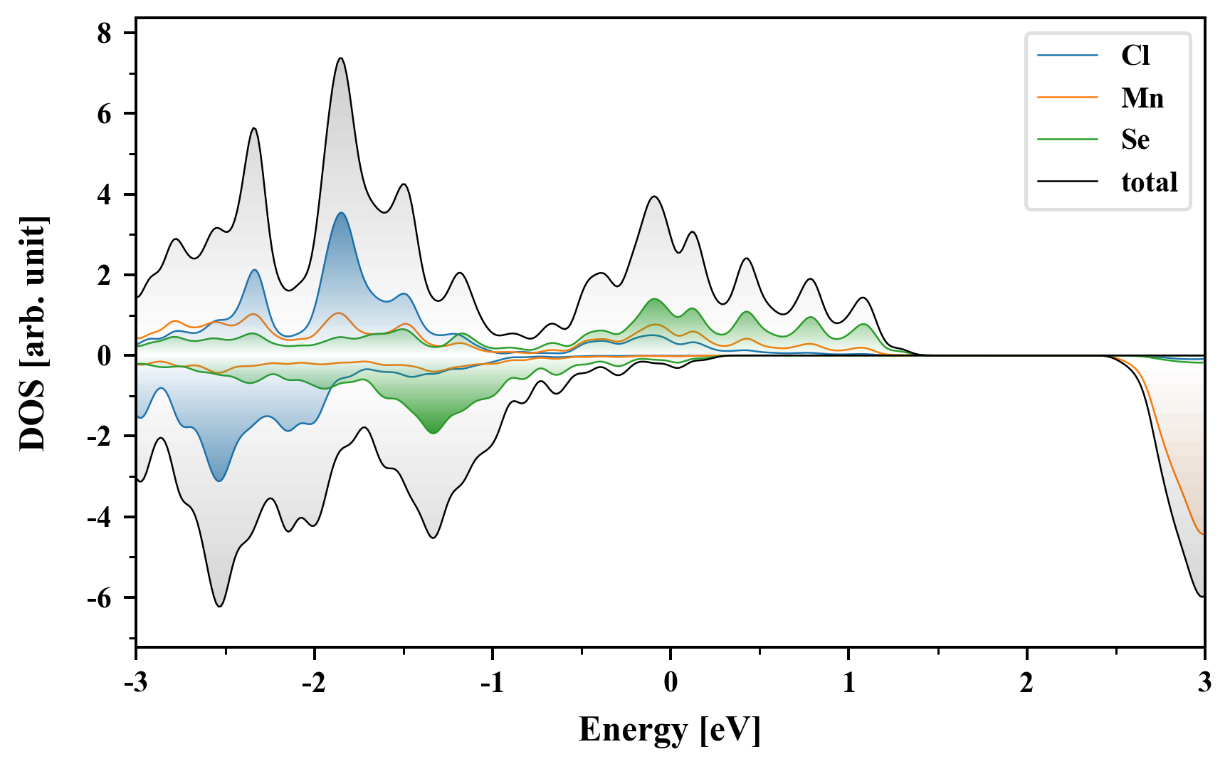
| Band gap (PBE) (eV) |
0.00 |
| Free energy (eV) |
-29.543 |
| Free energy / atom (eV) |
-4.924 |
Lattice Parameters (basic)
| a, b, c (Å): | 3.476 | 5.295 | 30.000 |
| α, β, γ (°): | 90.000 | 90.000 | 90.000 |
Lattice Parameters (computed)
| a, b, c (Å): | 3.601 | 5.239 | 30.000 |
| α, β, γ (°): | 90.000 | 90.000 | 90.000 |
| Property |
Value |
| Band gap |
0.00 eV |
| E-fermi |
-4.153 eV |
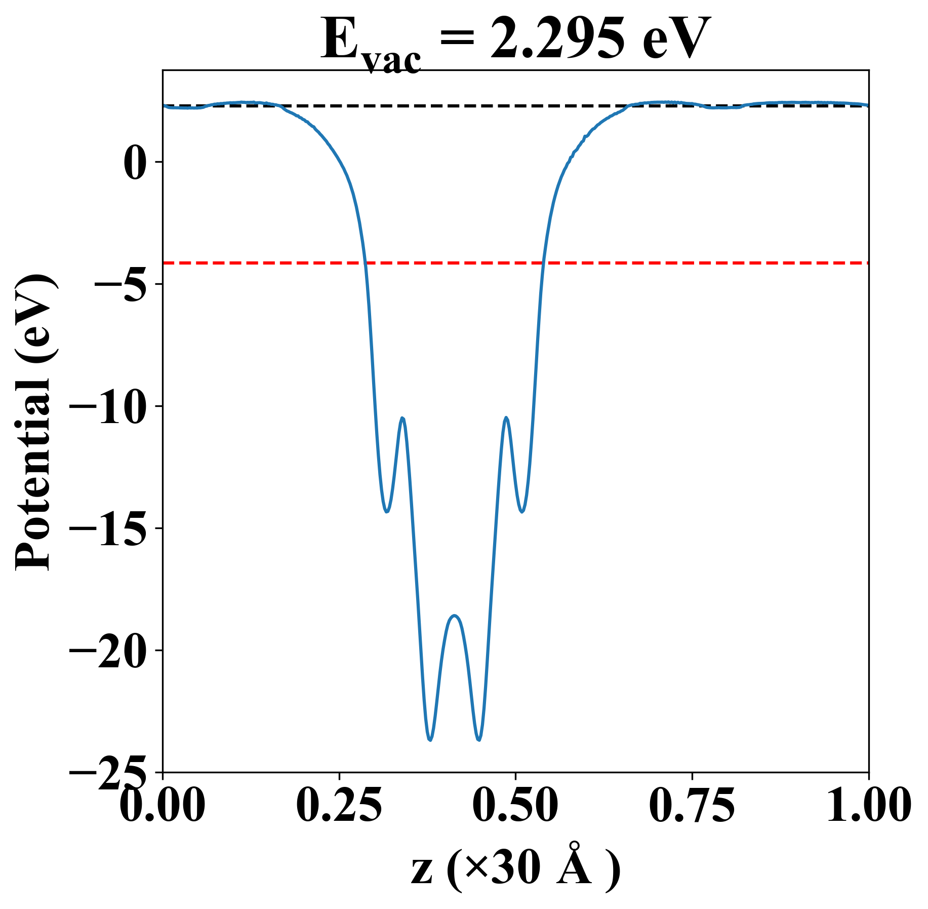
| Vacuum level |
2.295 eV |
| VBM |
-4.153 eV |
| CBM |
-4.153 eV |
| Work function |
6.447 eV |
| Direct gap |
No |
| Property |
Value |
| Band gap |
0.00 eV |
| E-fermi |
-4.153 eV |
| Vacuum level |
2.295 eV |
| VBM |
-4.153 eV |
| CBM |
-4.153 eV |
| Work function |
6.447 eV |
| Cij (N/m) |
xx |
yy |
xy |
| xx |
43.711 |
6.921 |
0.000 |
| yy |
6.921 |
15.489 |
0.000 |
| xy |
0.000 |
0.000 |
20.750 |
| Phonon mode at Γ point (THz) |
| -3.817 |
| -3.602 |
| -0.040 |
| -0.023 |
| 0.008 |
| 1.932 |
| 2.507 |
| 2.754 |
| 2.825 |
| 3.020 |
| 3.438 |
| 3.501 |
| 4.216 |
| 4.219 |
| 4.318 |
| 4.328 |
| 5.981 |
| 6.469 |
| Property |
Value |
| from where |
c2db-210 |