Cl2Mn2O2
MatHub2d-1344-Cl2Mn2O2
| Property |
Value |
| Space group |
(59, 'Pmmn') |
| Crystal system |
rectangular |
| Magnetic |
Yes |
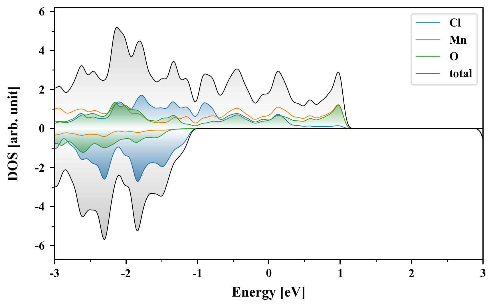
| Band gap (PBE) (eV) |
0.00 |
| Free energy (eV) |
-35.932 |
| Free energy / atom (eV) |
-5.989 |
Lattice Parameters (basic)
| a, b, c (Å): | 3.327 | 3.871 | 30.000 |
| α, β, γ (°): | 90.000 | 90.000 | 90.000 |
Lattice Parameters (computed)
| a, b, c (Å): | 3.388 | 3.822 | 30.000 |
| α, β, γ (°): | 90.000 | 90.000 | 90.000 |
| Property |
Value |
| Band gap |
0.00 eV |
| E-fermi |
-4.465 eV |
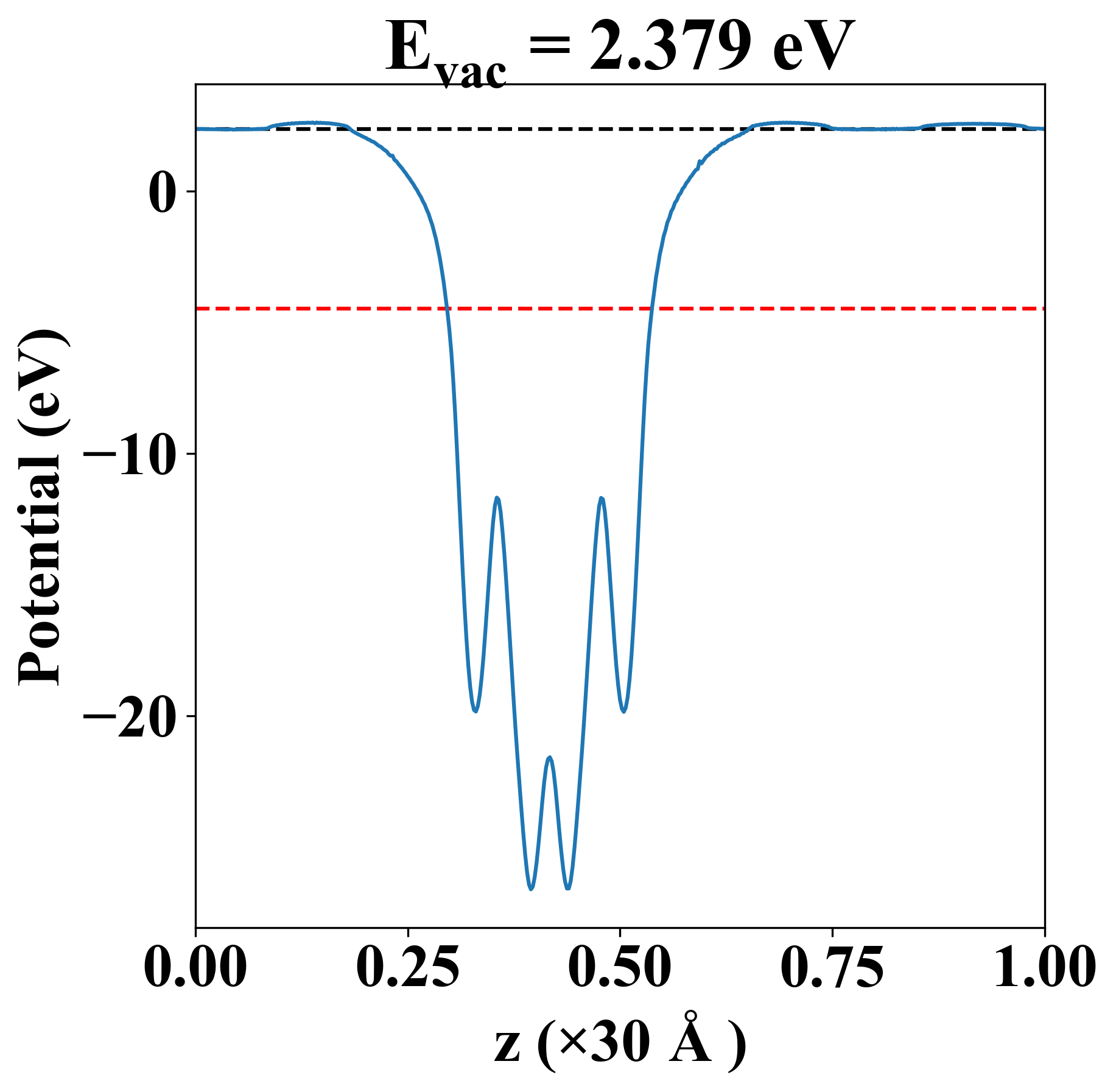
| Vacuum level |
2.379 eV |
| VBM |
-4.467 eV |
| CBM |
-4.464 eV |
| Work function |
6.844 eV |
| Direct gap |
No |
| Property |
Value |
| Band gap |
0.00 eV |
| E-fermi |
-4.465 eV |
| Vacuum level |
2.379 eV |
| VBM |
-4.467 eV |
| CBM |
-4.464 eV |
| Work function |
6.844 eV |
| Cij (N/m) |
xx |
yy |
xy |
| xx |
64.921 |
7.594 |
0.000 |
| yy |
7.594 |
48.892 |
0.000 |
| xy |
0.000 |
0.000 |
16.121 |
| Phonon mode at Γ point (THz) |
| Property |
Value |
| from where |
c2db-206 |