Cl2Mn2N2
MatHub2d-1343-Cl2Mn2N2
| Property |
Value |
| Space group |
(59, 'Pmmn') |
| Crystal system |
rectangular |
| Magnetic |
Yes |
| Band gap (PBE) (eV) |
0.00 |
| Free energy (eV) |
-35.799 |
| Free energy / atom (eV) |
-5.966 |
Lattice Parameters (basic)
| a, b, c (Å): | 3.107 | 3.867 | 30.000 |
| α, β, γ (°): | 90.000 | 90.000 | 90.000 |
Lattice Parameters (computed)
| a, b, c (Å): | 3.216 | 3.916 | 30.000 |
| α, β, γ (°): | 90.000 | 90.000 | 90.000 |
| Property |
Value |
| Band gap |
0.00 eV |
| E-fermi |
-4.134 eV |
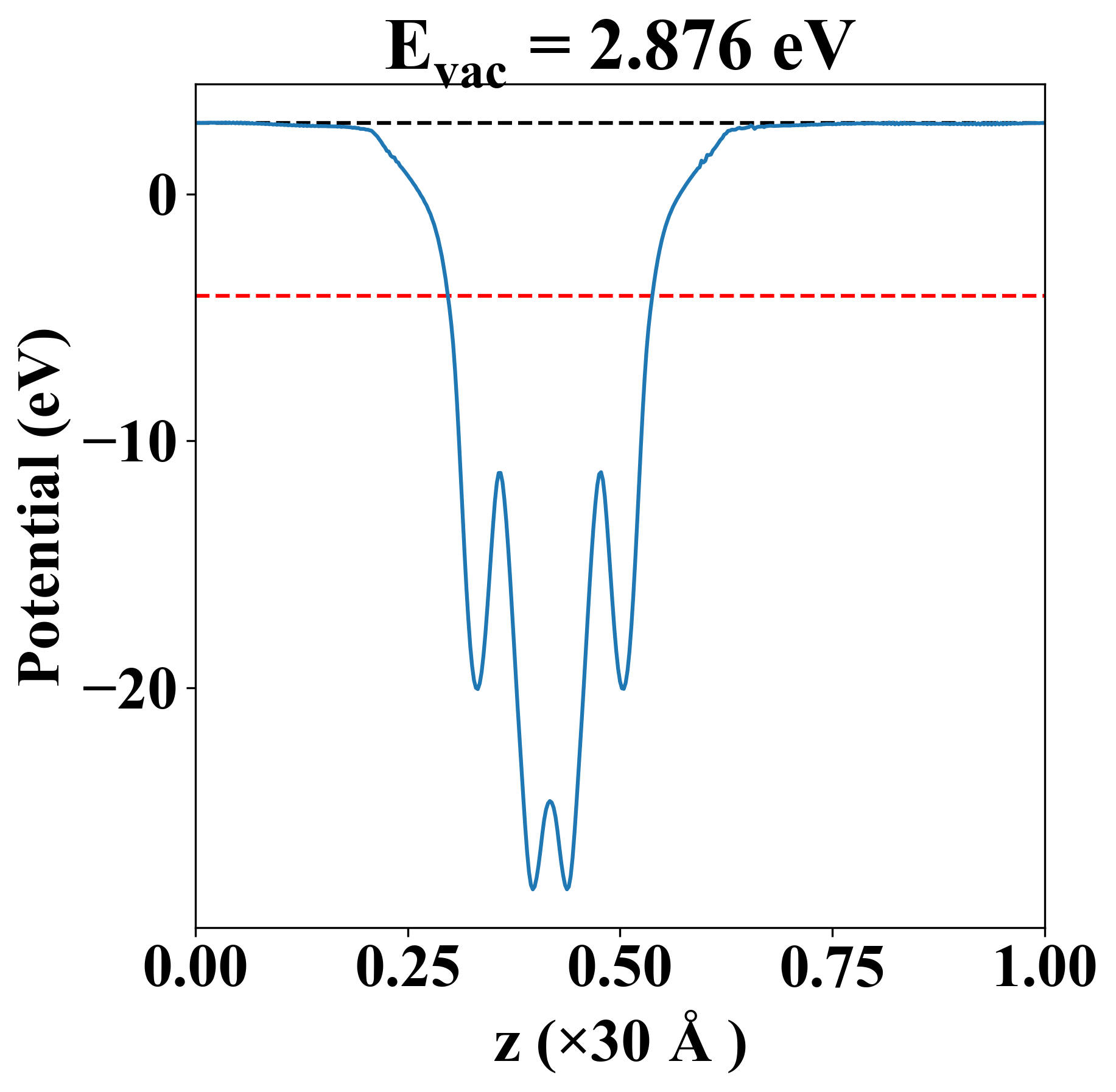
| Vacuum level |
2.876 eV |
| VBM |
-4.134 eV |
| CBM |
-4.133 eV |
| Work function |
7.010 eV |
| Direct gap |
No |
| Property |
Value |
| Band gap |
0.00 eV |
| E-fermi |
-4.134 eV |
| Vacuum level |
2.876 eV |
| VBM |
-4.134 eV |
| CBM |
-4.133 eV |
| Work function |
7.010 eV |
| Cij (N/m) |
xx |
yy |
xy |
| xx |
104.839 |
18.087 |
0.000 |
| yy |
18.087 |
-126.054 |
0.000 |
| xy |
0.000 |
0.000 |
12.936 |
| Phonon mode at Γ point (THz) |
| -13.730 |
| -11.668 |
| -9.391 |
| -6.747 |
| -4.689 |
| -3.017 |
| -0.584 |
| -0.006 |
| 0.016 |
| 0.026 |
| 2.653 |
| 3.609 |
| 3.626 |
| 4.270 |
| 4.630 |
| 5.485 |
| 8.301 |
| 8.463 |
| Property |
Value |
| from where |
c2db-204 |