Cl2Ir2Se2
MatHub2d-1342-Cl2Ir2Se2
| Property |
Value |
| Space group |
(59, 'Pmmn') |
| Crystal system |
rectangular |
| Magnetic |
No |
| Band gap (PBE) (eV) |
0.36 |
| Free energy (eV) |
-25.744 |
| Free energy / atom (eV) |
-4.291 |
Lattice Parameters (basic)
| a, b, c (Å): | 3.656 | 4.933 | 30.000 |
| α, β, γ (°): | 90.000 | 90.000 | 90.000 |
Lattice Parameters (computed)
| a, b, c (Å): | 3.644 | 4.922 | 30.000 |
| α, β, γ (°): | 90.000 | 90.000 | 90.000 |
| Property |
Value |
| Band gap |
0.36 eV |
| E-fermi |
-3.536 eV |
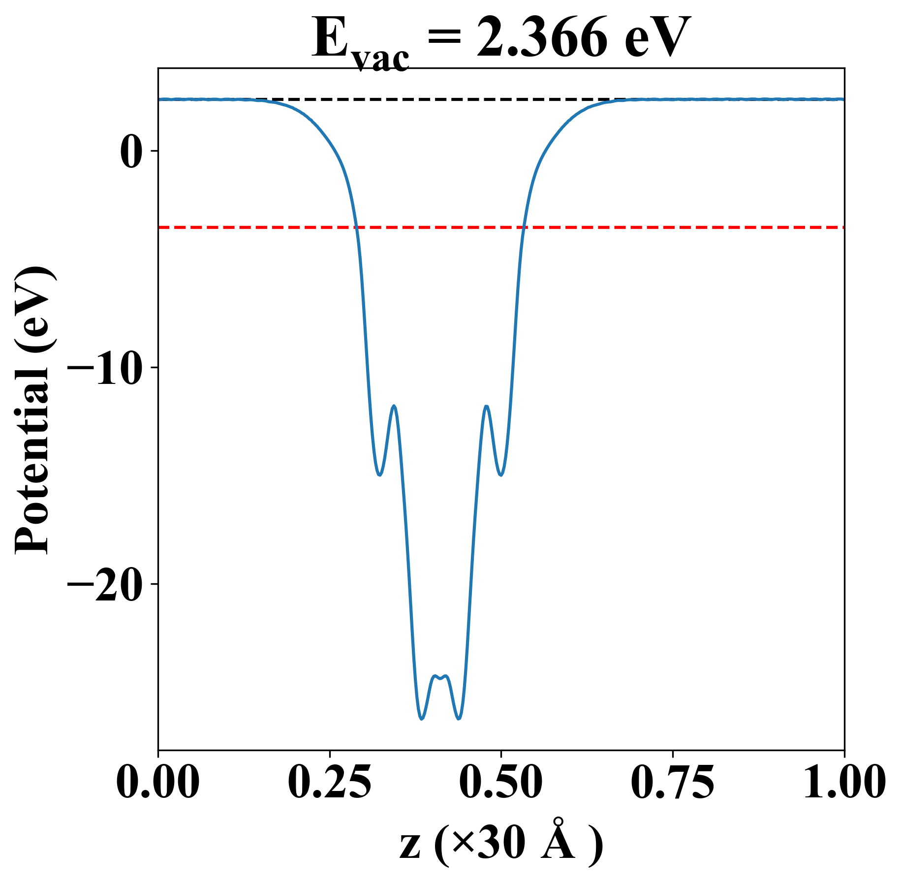
| Vacuum level |
2.366 eV |
| VBM |
-3.716 eV |
| CBM |
-3.355 eV |
| Work function |
5.902 eV |
| Direct gap |
Yes |
| Property |
Value |
| Band gap |
0.56 eV |
| E-fermi |
-3.452 eV |
| VBM |
-3.745 eV |
| CBM |
-3.189 eV |
| Free energy (eV) |
-26.621 |
| Free energy / atom (eV) |
-4.437 |
| Property |
Value |
| Band gap |
0.36 eV |
| E-fermi |
-3.536 eV |
| Vacuum level |
2.366 eV |
| VBM |
-3.716 eV |
| CBM |
-3.355 eV |
| Work function |
5.902 eV |
| Cij (N/m) |
xx |
yy |
xy |
| xx |
100.818 |
12.183 |
0.000 |
| yy |
12.183 |
142.484 |
0.000 |
| xy |
0.000 |
0.000 |
24.396 |
| Phonon mode at Γ point (THz) |
| -0.003 |
| -0.003 |
| 0.001 |
| 2.003 |
| 2.624 |
| 2.856 |
| 3.843 |
| 4.927 |
| 5.642 |
| 6.207 |
| 6.359 |
| 7.042 |
| 7.062 |
| 7.667 |
| 7.802 |
| 7.825 |
| 7.836 |
| 7.849 |
| Property |
Value |
| from where |
c2db-191 |