Cl2Ir2S2
MatHub2d-1341-Cl2Ir2S2
| Property |
Value |
| Space group |
(59, 'Pmmn') |
| Crystal system |
rectangular |
| Magnetic |
No |
| Band gap (PBE) (eV) |
0.68 |
| Free energy (eV) |
-27.496 |
| Free energy / atom (eV) |
-4.583 |
Lattice Parameters (basic)
| a, b, c (Å): | 3.548 | 4.641 | 30.000 |
| α, β, γ (°): | 90.000 | 90.000 | 90.000 |
Lattice Parameters (computed)
| a, b, c (Å): | 3.541 | 4.645 | 30.000 |
| α, β, γ (°): | 90.000 | 90.000 | 90.000 |
| Property |
Value |
| Band gap |
0.68 eV |
| E-fermi |
-3.294 eV |
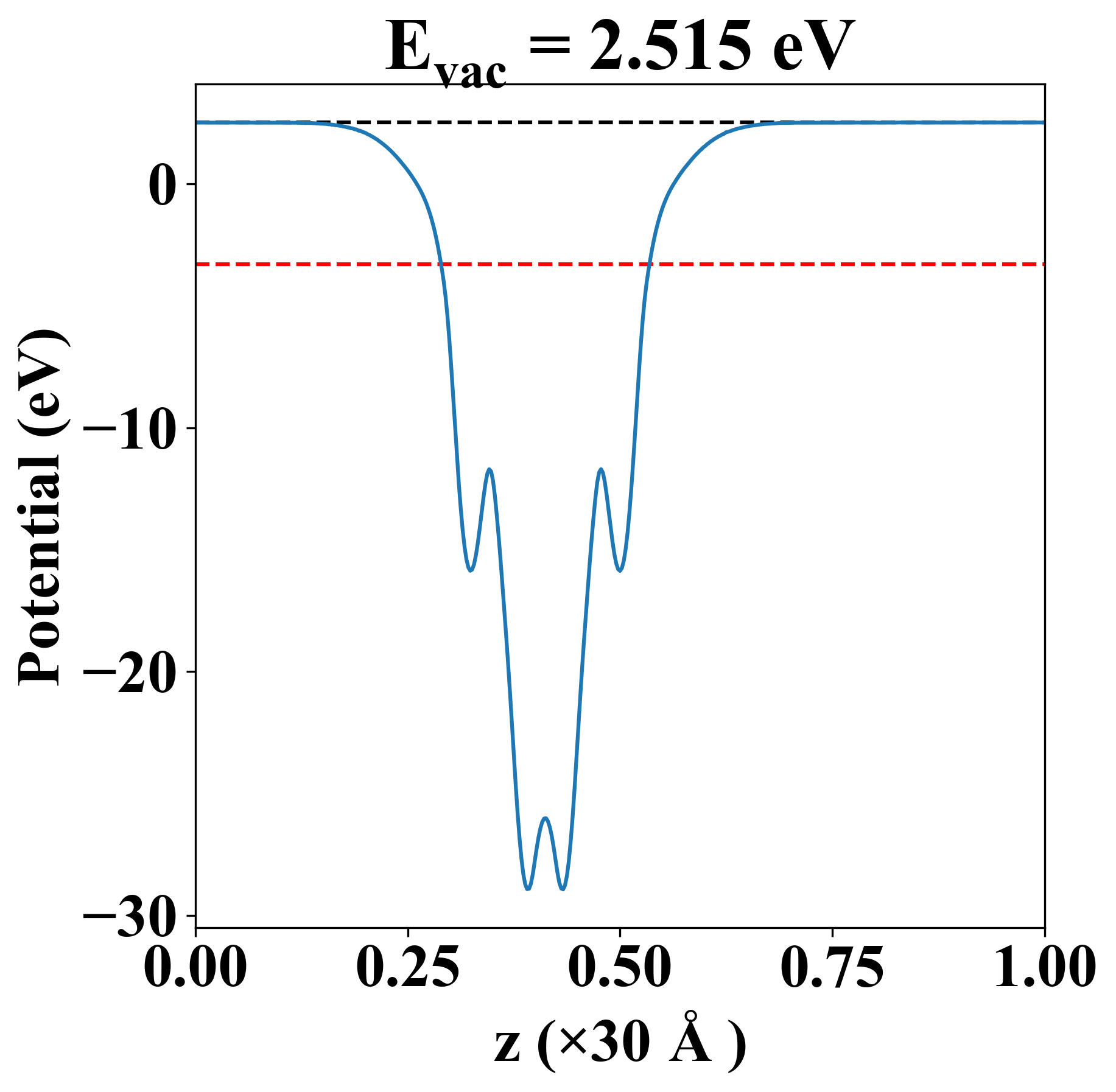
| Vacuum level |
2.515 eV |
| VBM |
-3.513 eV |
| CBM |
-2.832 eV |
| Work function |
5.810 eV |
| Direct gap |
No |
| Property |
Value |
| Band gap |
0.83 eV |
| E-fermi |
-3.294 eV |
| VBM |
-3.555 eV |
| CBM |
-2.730 eV |
| Free energy (eV) |
-28.333 |
| Free energy / atom (eV) |
-4.722 |
| Property |
Value |
| Band gap |
0.68 eV |
| E-fermi |
-3.294 eV |
| Vacuum level |
2.515 eV |
| VBM |
-3.513 eV |
| CBM |
-2.832 eV |
| Work function |
5.810 eV |
| Cij (N/m) |
xx |
yy |
xy |
| xx |
112.962 |
11.483 |
0.000 |
| yy |
11.483 |
170.096 |
0.000 |
| xy |
0.000 |
0.000 |
29.177 |
| Phonon mode at Γ point (THz) |
| -0.003 |
| -0.002 |
| -0.001 |
| 2.189 |
| 3.087 |
| 3.399 |
| 4.606 |
| 5.353 |
| 7.266 |
| 7.393 |
| 8.127 |
| 8.187 |
| 8.291 |
| 11.126 |
| 11.192 |
| 11.282 |
| 11.458 |
| 12.692 |
| Property |
Value |
| from where |
c2db-190 |