Cl2Ir2O2
MatHub2d-1340-Cl2Ir2O2
| Property |
Value |
| Space group |
(59, 'Pmmn') |
| Crystal system |
rectangular |
| Magnetic |
No |
| Band gap (PBE) (eV) |
1.16 |
| Free energy (eV) |
-29.182 |
| Free energy / atom (eV) |
-4.864 |
Lattice Parameters (basic)
| a, b, c (Å): | 3.370 | 4.073 | 30.000 |
| α, β, γ (°): | 90.000 | 90.000 | 90.000 |
Lattice Parameters (computed)
| a, b, c (Å): | 3.344 | 4.090 | 30.000 |
| α, β, γ (°): | 90.000 | 90.000 | 90.000 |
| Property |
Value |
| Band gap |
1.16 eV |
| E-fermi |
-3.028 eV |
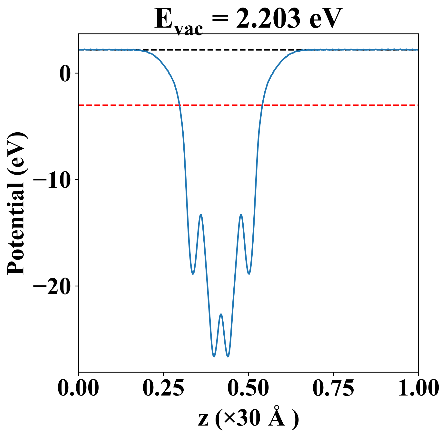
| Vacuum level |
2.203 eV |
| VBM |
-3.239 eV |
| CBM |
-2.078 eV |
| Work function |
5.231 eV |
| Direct gap |
No |
| Property |
Value |
| Band gap |
1.33 eV |
| E-fermi |
-3.057 eV |
| VBM |
-3.303 eV |
| CBM |
-1.976 eV |
| Free energy (eV) |
-30.218 |
| Free energy / atom (eV) |
-5.036 |
| Property |
Value |
| Band gap |
1.16 eV |
| E-fermi |
-3.028 eV |
| Vacuum level |
2.203 eV |
| VBM |
-3.239 eV |
| CBM |
-2.078 eV |
| Work function |
5.231 eV |
| Cij (N/m) |
xx |
yy |
xy |
| xx |
115.445 |
10.612 |
0.000 |
| yy |
10.612 |
223.544 |
0.000 |
| xy |
0.000 |
0.000 |
16.147 |
| Phonon mode at Γ point (THz) |
| -0.012 |
| -0.001 |
| -0.000 |
| 2.202 |
| 3.390 |
| 3.671 |
| 4.713 |
| 5.928 |
| 9.018 |
| 9.156 |
| 9.369 |
| 9.482 |
| 13.668 |
| 14.238 |
| 14.467 |
| 14.975 |
| 15.394 |
| 16.126 |
| Property |
Value |
| from where |
c2db-189 |