Cl2In2Se2
MatHub2d-1338-Cl2In2Se2
| Property |
Value |
| Space group |
(59, 'Pmmn') |
| Crystal system |
rectangular |
| Magnetic |
No |
| Band gap (PBE) (eV) |
1.08 |
| Free energy (eV) |
-20.174 |
| Free energy / atom (eV) |
-3.362 |
Lattice Parameters (basic)
| a, b, c (Å): | 3.839 | 5.684 | 30.000 |
| α, β, γ (°): | 90.000 | 90.000 | 90.000 |
Lattice Parameters (computed)
| a, b, c (Å): | 3.826 | 5.661 | 30.000 |
| α, β, γ (°): | 90.000 | 90.000 | 90.000 |
| Property |
Value |
| Band gap |
1.08 eV |
| E-fermi |
-3.627 eV |
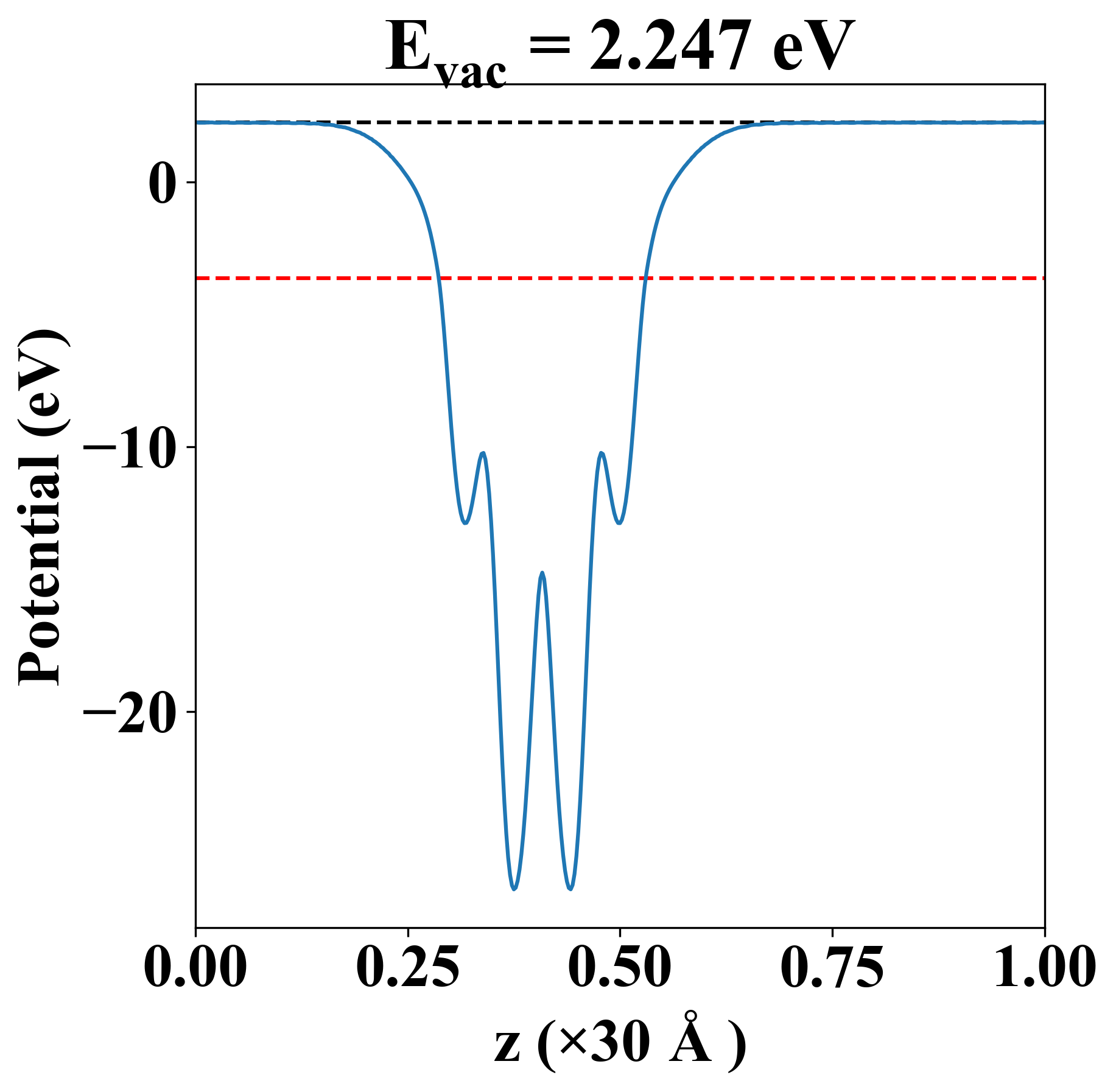
| Vacuum level |
2.247 eV |
| VBM |
-3.887 eV |
| CBM |
-2.804 eV |
| Work function |
5.875 eV |
| Direct gap |
Yes |
| Property |
Value |
| Band gap |
1.08 eV |
| E-fermi |
-3.656 eV |
| VBM |
-3.881 eV |
| CBM |
-2.800 eV |
| Free energy (eV) |
-20.283 |
| Free energy / atom (eV) |
-3.380 |
| Property |
Value |
| Band gap |
1.08 eV |
| E-fermi |
-3.627 eV |
| Vacuum level |
2.247 eV |
| VBM |
-3.887 eV |
| CBM |
-2.804 eV |
| Work function |
5.875 eV |
| Cij (N/m) |
xx |
yy |
xy |
| xx |
64.921 |
7.594 |
0.000 |
| yy |
7.594 |
48.892 |
0.000 |
| xy |
0.000 |
0.000 |
16.121 |
| Phonon mode at Γ point (THz) |
| -0.011 |
| -0.009 |
| -0.001 |
| 1.289 |
| 1.428 |
| 1.686 |
| 1.822 |
| 2.398 |
| 2.619 |
| 3.341 |
| 3.438 |
| 4.479 |
| 4.919 |
| 5.197 |
| 5.494 |
| 5.703 |
| 7.373 |
| 7.614 |
| Property |
Value |
| from where |
c2db-179 |