Cl2In2O2
MatHub2d-1336-Cl2In2O2
| Property |
Value |
| Space group |
(59, 'Pmmn') |
| Crystal system |
rectangular |
| Magnetic |
No |
| Band gap (PBE) (eV) |
2.73 |
| Free energy (eV) |
-27.131 |
| Free energy / atom (eV) |
-4.522 |
Lattice Parameters (basic)
| a, b, c (Å): | 3.569 | 4.140 | 30.000 |
| α, β, γ (°): | 90.000 | 90.000 | 90.000 |
Lattice Parameters (computed)
| a, b, c (Å): | 3.552 | 4.133 | 30.000 |
| α, β, γ (°): | 90.000 | 90.000 | 90.000 |
| Property |
Value |
| Band gap |
2.73 eV |
| E-fermi |
-4.852 eV |
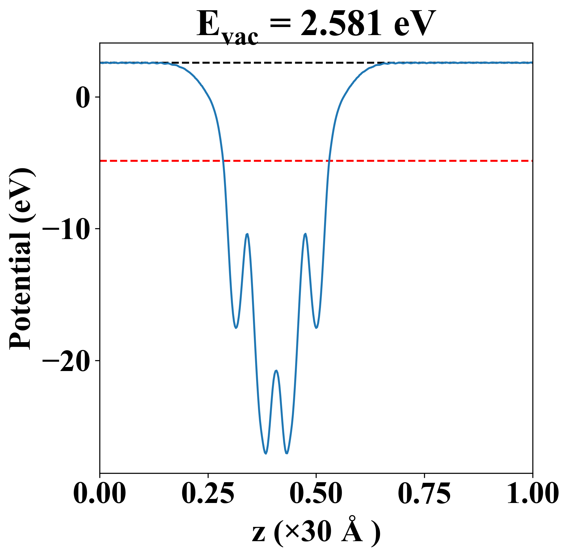
| Vacuum level |
2.581 eV |
| VBM |
-5.073 eV |
| CBM |
-2.345 eV |
| Work function |
7.433 eV |
| Direct gap |
No |
| Property |
Value |
| Band gap |
2.74 eV |
| E-fermi |
-4.845 eV |
| VBM |
-5.082 eV |
| CBM |
-2.341 eV |
| Free energy (eV) |
-27.192 |
| Free energy / atom (eV) |
-4.532 |
| Property |
Value |
| Band gap |
2.73 eV |
| E-fermi |
-4.852 eV |
| Vacuum level |
2.581 eV |
| VBM |
-5.073 eV |
| CBM |
-2.345 eV |
| Work function |
7.433 eV |
| Cij (N/m) |
xx |
yy |
xy |
| xx |
98.081 |
29.750 |
0.000 |
| yy |
29.750 |
87.513 |
0.000 |
| xy |
0.000 |
0.000 |
34.907 |
| Phonon mode at Γ point (THz) |
| -0.009 |
| -0.008 |
| -0.007 |
| 1.995 |
| 2.366 |
| 2.695 |
| 4.446 |
| 4.515 |
| 4.760 |
| 5.003 |
| 8.484 |
| 8.546 |
| 8.616 |
| 10.246 |
| 12.327 |
| 13.612 |
| 14.050 |
| 18.198 |
| Property |
Value |
| from where |
c2db-177 |