Cl2In2N2
MatHub2d-1335-Cl2In2N2
| Property |
Value |
| Space group |
(59, 'Pmmn') |
| Crystal system |
rectangular |
| Magnetic |
No |
| Band gap (PBE) (eV) |
0.00 |
| Free energy (eV) |
-24.859 |
| Free energy / atom (eV) |
-4.143 |
Lattice Parameters (basic)
| a, b, c (Å): | 3.563 | 4.012 | 30.000 |
| α, β, γ (°): | 90.000 | 90.000 | 90.000 |
Lattice Parameters (computed)
| a, b, c (Å): | 3.554 | 3.996 | 30.000 |
| α, β, γ (°): | 90.000 | 90.000 | 90.000 |
| Property |
Value |
| Band gap |
0.00 eV |
| E-fermi |
-3.921 eV |
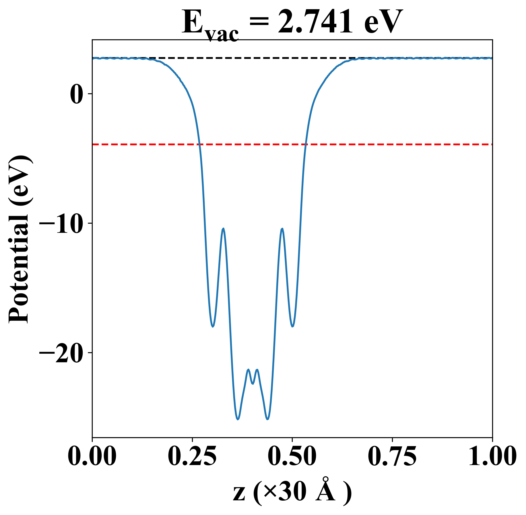
| Vacuum level |
2.741 eV |
| VBM |
-3.922 eV |
| CBM |
-3.916 eV |
| Work function |
6.662 eV |
| Direct gap |
No |
| Property |
Value |
| Band gap |
0.00 eV |
| E-fermi |
-3.921 eV |
| Vacuum level |
2.741 eV |
| VBM |
-3.922 eV |
| CBM |
-3.916 eV |
| Work function |
6.662 eV |
| Cij (N/m) |
xx |
yy |
xy |
| xx |
105.994 |
27.439 |
0.000 |
| yy |
27.439 |
67.545 |
0.000 |
| xy |
0.000 |
0.000 |
-5.929 |
| Phonon mode at Γ point (THz) |
| Property |
Value |
| from where |
c2db-176 |