Cl2Hg2Se2
MatHub2d-1334-Cl2Hg2Se2
| Property |
Value |
| Space group |
(59, 'Pmmn') |
| Crystal system |
rectangular |
| Magnetic |
No |
| Band gap (PBE) (eV) |
0.00 |
| Free energy (eV) |
-11.698 |
| Free energy / atom (eV) |
-1.950 |
Lattice Parameters (basic)
| a, b, c (Å): | 3.883 | 4.880 | 30.000 |
| α, β, γ (°): | 90.000 | 90.000 | 90.000 |
Lattice Parameters (computed)
| a, b, c (Å): | 3.786 | 4.533 | 30.000 |
| α, β, γ (°): | 90.000 | 90.000 | 90.000 |
| Property |
Value |
| Band gap |
0.00 eV |
| E-fermi |
-3.911 eV |
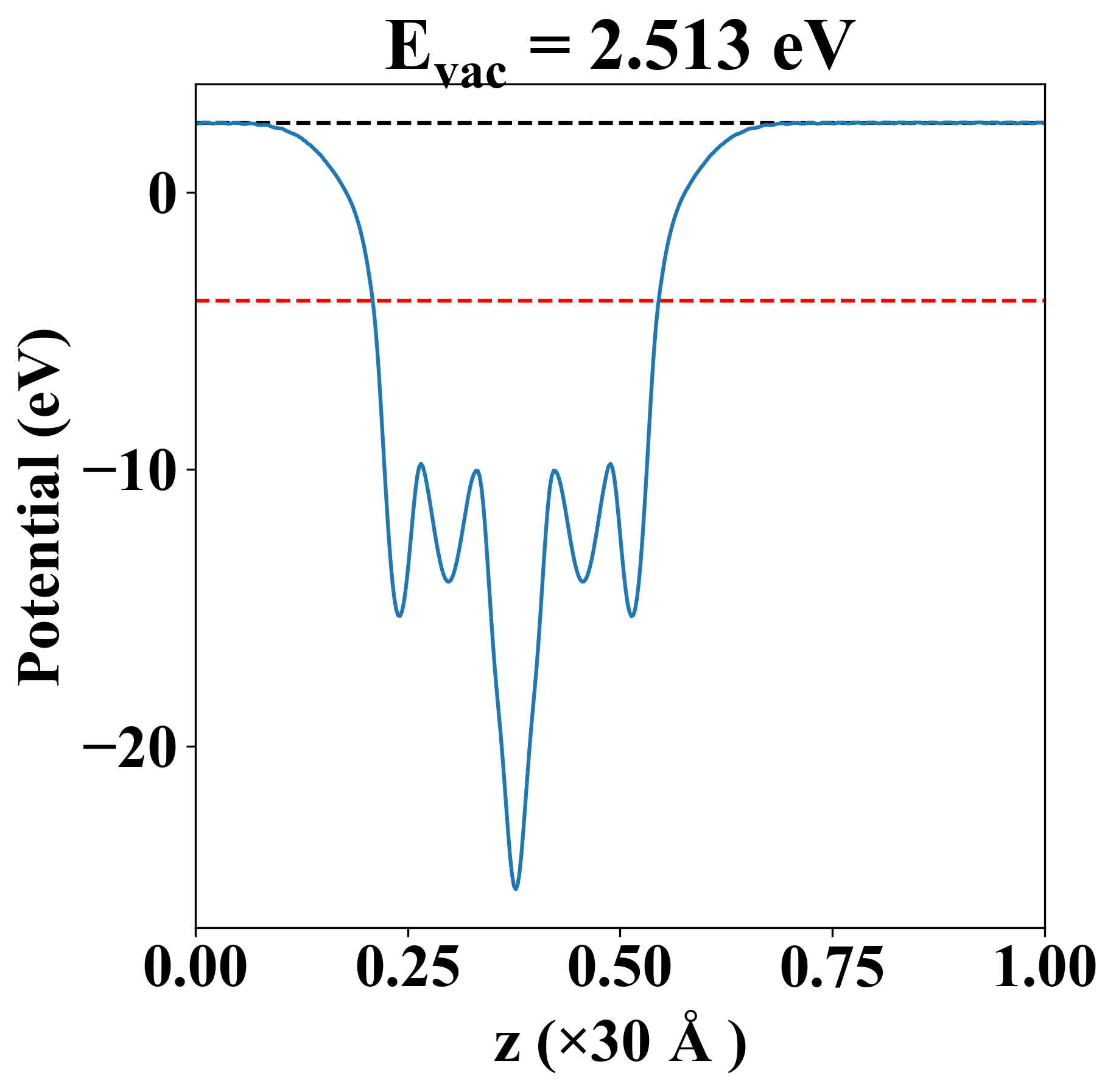
| Vacuum level |
2.513 eV |
| VBM |
-3.914 eV |
| CBM |
-3.911 eV |
| Work function |
6.425 eV |
| Direct gap |
No |
| Property |
Value |
| Band gap |
0.00 eV |
| E-fermi |
-3.911 eV |
| Vacuum level |
2.513 eV |
| VBM |
-3.914 eV |
| CBM |
-3.911 eV |
| Work function |
6.425 eV |
| Cij (N/m) |
xx |
yy |
xy |
| xx |
69.403 |
4.222 |
0.000 |
| yy |
4.222 |
9.002 |
0.000 |
| xy |
0.000 |
0.000 |
-4.312 |
| Phonon mode at Γ point (THz) |
| -2.205 |
| -1.902 |
| -1.808 |
| -0.374 |
| 0.001 |
| 0.010 |
| 0.021 |
| 0.578 |
| 1.351 |
| 1.421 |
| 1.801 |
| 2.035 |
| 3.540 |
| 4.021 |
| 4.354 |
| 4.589 |
| 6.777 |
| 6.843 |
| Property |
Value |
| from where |
c2db-166 |