Cl2Hg2S2
MatHub2d-1333-Cl2Hg2S2
| Property |
Value |
| Space group |
(59, 'Pmmn') |
| Crystal system |
rectangular |
| Magnetic |
No |
| Band gap (PBE) (eV) |
0.00 |
| Free energy (eV) |
-12.065 |
| Free energy / atom (eV) |
-2.011 |
Lattice Parameters (basic)
| a, b, c (Å): | 3.900 | 4.467 | 30.000 |
| α, β, γ (°): | 90.000 | 90.000 | 90.000 |
Lattice Parameters (computed)
| a, b, c (Å): | 3.887 | 4.491 | 30.000 |
| α, β, γ (°): | 90.000 | 90.000 | 90.000 |
| Property |
Value |
| Band gap |
0.00 eV |
| E-fermi |
-3.765 eV |
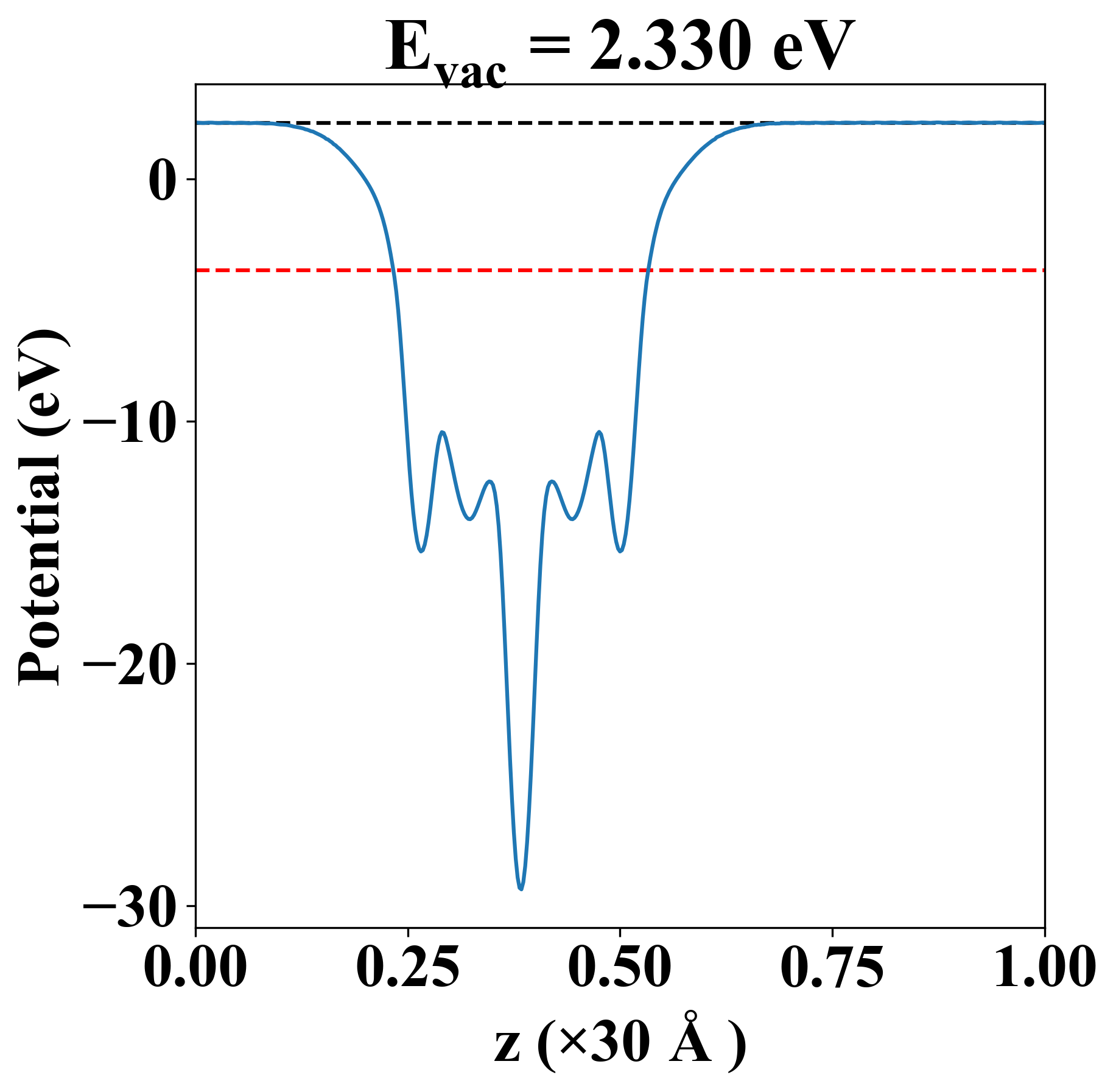
| Vacuum level |
2.330 eV |
| VBM |
-3.768 eV |
| CBM |
-3.764 eV |
| Work function |
6.094 eV |
| Direct gap |
No |
| Property |
Value |
| Band gap |
0.00 eV |
| E-fermi |
-3.765 eV |
| Vacuum level |
2.330 eV |
| VBM |
-3.768 eV |
| CBM |
-3.764 eV |
| Work function |
6.094 eV |
| Cij (N/m) |
xx |
yy |
xy |
| xx |
37.504 |
18.271 |
0.000 |
| yy |
18.271 |
16.460 |
0.000 |
| xy |
0.000 |
0.000 |
-7.330 |
| Phonon mode at Γ point (THz) |
| -2.845 |
| -1.263 |
| -1.132 |
| -0.050 |
| -0.001 |
| 0.002 |
| 0.331 |
| 1.391 |
| 1.738 |
| 1.831 |
| 3.226 |
| 4.290 |
| 4.337 |
| 5.853 |
| 6.017 |
| 6.307 |
| 6.603 |
| 6.609 |
| Property |
Value |
| from where |
c2db-165 |