Cl2Hg2N2
MatHub2d-1331-Cl2Hg2N2
| Property |
Value |
| Space group |
(59, 'Pmmn') |
| Crystal system |
rectangular |
| Magnetic |
No |
| Band gap (PBE) (eV) |
0.00 |
| Free energy (eV) |
-14.325 |
| Free energy / atom (eV) |
-2.388 |
Lattice Parameters (basic)
| a, b, c (Å): | 3.684 | 4.206 | 30.000 |
| α, β, γ (°): | 90.000 | 90.000 | 90.000 |
Lattice Parameters (computed)
| a, b, c (Å): | 3.690 | 4.215 | 30.000 |
| α, β, γ (°): | 90.000 | 90.000 | 90.000 |
| Property |
Value |
| Band gap |
0.00 eV |
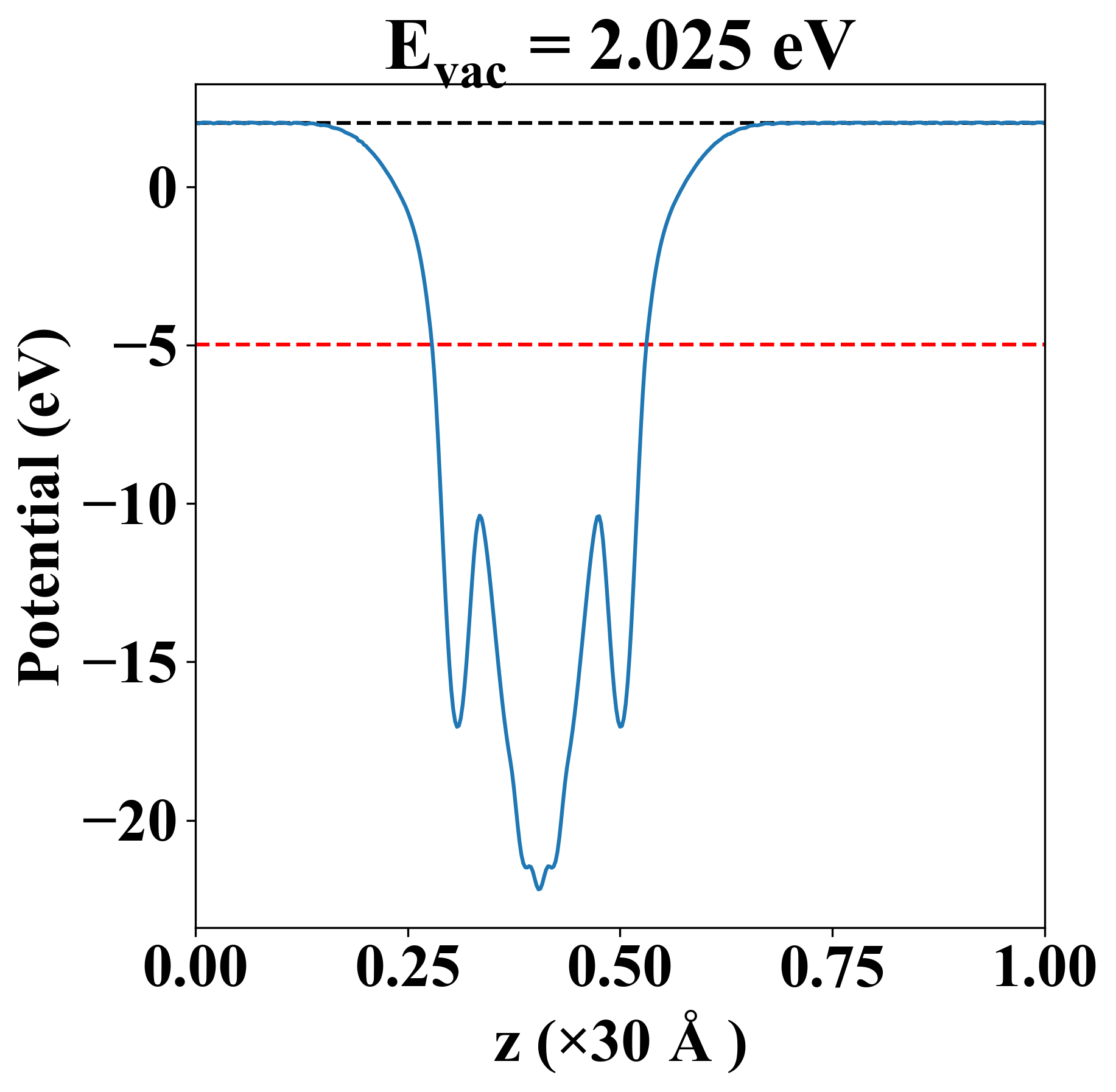
| E-fermi |
-4.987 eV |
| Vacuum level |
2.025 eV |
| VBM |
-4.988 eV |
| CBM |
-4.986 eV |
| Work function |
7.012 eV |
| Direct gap |
No |
| Property |
Value |
| Band gap |
0.00 eV |
| E-fermi |
-4.987 eV |
| Vacuum level |
2.025 eV |
| VBM |
-4.988 eV |
| CBM |
-4.986 eV |
| Work function |
7.012 eV |
| Cij (N/m) |
xx |
yy |
xy |
| xx |
68.621 |
16.075 |
0.000 |
| yy |
16.075 |
75.987 |
0.000 |
| xy |
0.000 |
0.000 |
10.770 |
| Phonon mode at Γ point (THz) |
| Property |
Value |
| from where |
c2db-163 |