Cl2Hf2Se2
MatHub2d-1330-Cl2Hf2Se2
| Property |
Value |
| Space group |
(59, 'Pmmn') |
| Crystal system |
rectangular |
| Magnetic |
No |
| Band gap (PBE) (eV) |
0.00 |
| Free energy (eV) |
-39.335 |
| Free energy / atom (eV) |
-6.556 |
Lattice Parameters (basic)
| a, b, c (Å): | 3.634 | 5.265 | 30.000 |
| α, β, γ (°): | 90.000 | 90.000 | 90.000 |
Lattice Parameters (computed)
| a, b, c (Å): | 3.637 | 5.243 | 30.000 |
| α, β, γ (°): | 90.000 | 90.000 | 90.000 |
| Property |
Value |
| Band gap |
0.00 eV |
| E-fermi |
-2.340 eV |
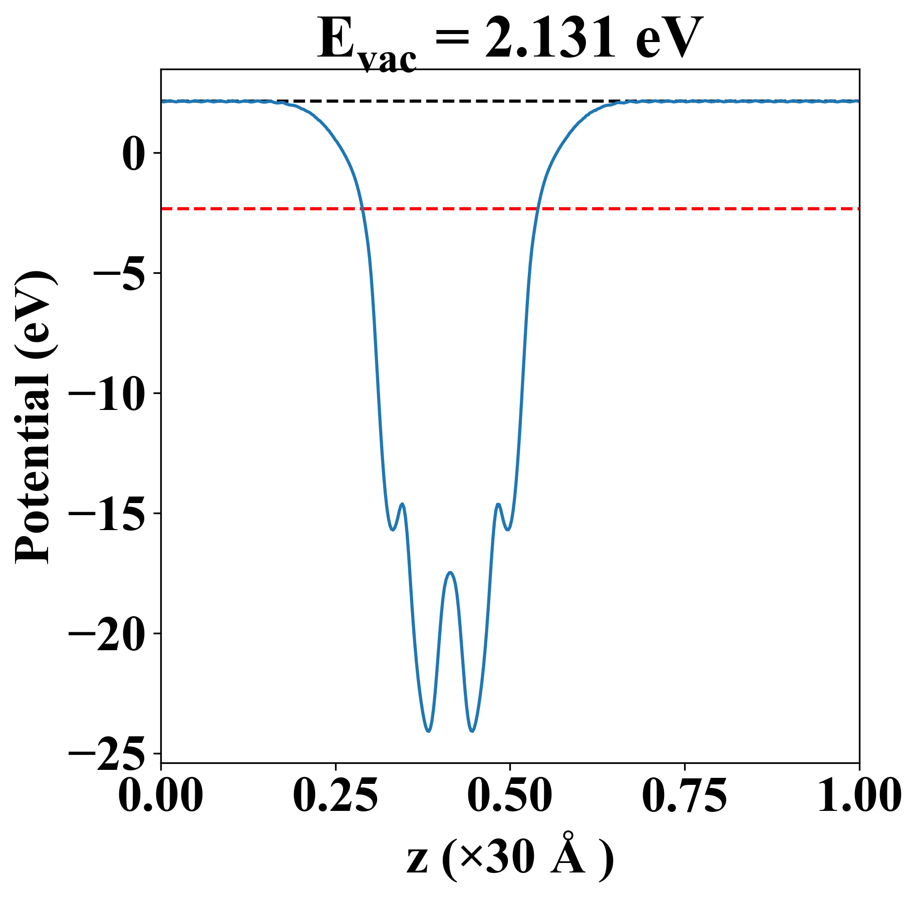
| Vacuum level |
2.131 eV |
| VBM |
-2.340 eV |
| CBM |
-2.340 eV |
| Work function |
4.471 eV |
| Direct gap |
No |
| Property |
Value |
| Band gap |
0.00 eV |
| E-fermi |
-2.340 eV |
| Vacuum level |
2.131 eV |
| VBM |
-2.340 eV |
| CBM |
-2.340 eV |
| Work function |
4.471 eV |
| Cij (N/m) |
xx |
yy |
xy |
| xx |
60.998 |
6.979 |
0.000 |
| yy |
6.979 |
151.123 |
0.000 |
| xy |
0.000 |
0.000 |
21.648 |
| Phonon mode at Γ point (THz) |
| -0.003 |
| -0.003 |
| -0.001 |
| 1.426 |
| 1.713 |
| 2.664 |
| 3.928 |
| 4.272 |
| 4.453 |
| 4.956 |
| 5.508 |
| 5.803 |
| 5.832 |
| 6.000 |
| 6.557 |
| 6.808 |
| 7.848 |
| 7.985 |
| Property |
Value |
| from where |
c2db-154 |