Cl2Hf2S2
MatHub2d-1329-Cl2Hf2S2
| Property |
Value |
| Space group |
(59, 'Pmmn') |
| Crystal system |
rectangular |
| Magnetic |
No |
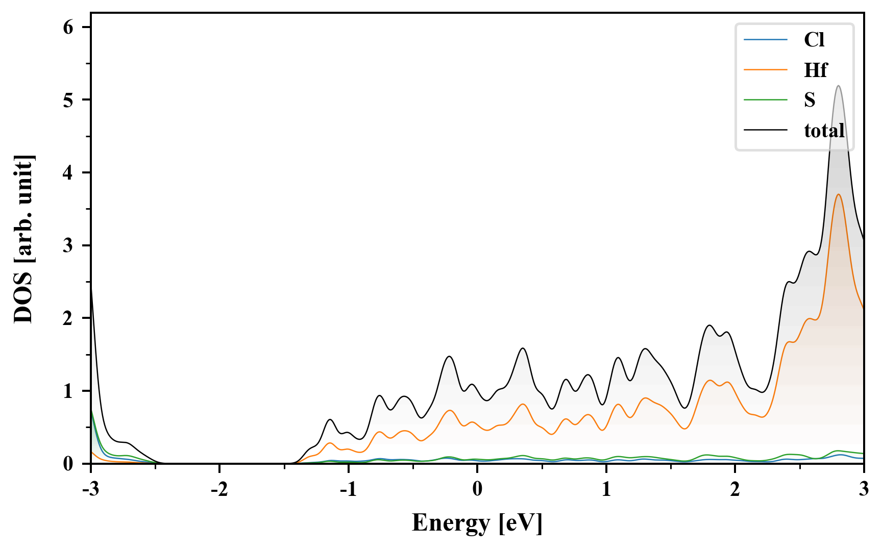
| Band gap (PBE) (eV) |
0.00 |
| Free energy (eV) |
-41.665 |
| Free energy / atom (eV) |
-6.944 |
Lattice Parameters (basic)
| a, b, c (Å): | 3.588 | 5.036 | 30.000 |
| α, β, γ (°): | 90.000 | 90.000 | 90.000 |
Lattice Parameters (computed)
| a, b, c (Å): | 3.582 | 5.007 | 30.000 |
| α, β, γ (°): | 90.000 | 90.000 | 90.000 |
| Property |
Value |
| Band gap |
0.00 eV |
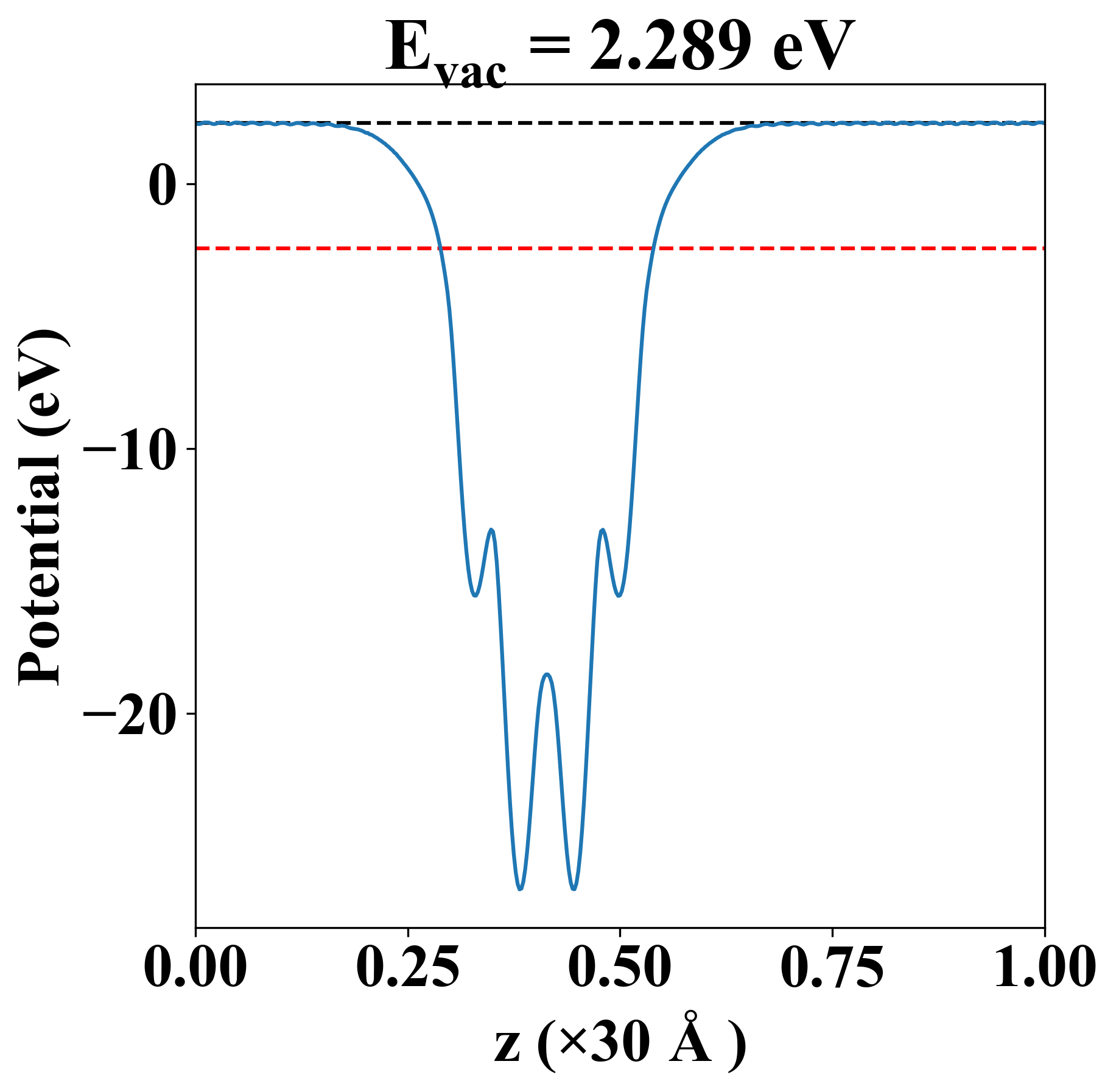
| E-fermi |
-2.443 eV |
| Vacuum level |
2.289 eV |
| VBM |
-2.445 eV |
| CBM |
-2.442 eV |
| Work function |
4.731 eV |
| Direct gap |
No |
| Property |
Value |
| Band gap |
0.00 eV |
| E-fermi |
-2.443 eV |
| Vacuum level |
2.289 eV |
| VBM |
-2.445 eV |
| CBM |
-2.442 eV |
| Work function |
4.731 eV |
| Cij (N/m) |
xx |
yy |
xy |
| xx |
65.393 |
8.388 |
0.000 |
| yy |
8.388 |
177.847 |
0.000 |
| xy |
0.000 |
0.000 |
23.138 |
| Phonon mode at Γ point (THz) |
| -0.003 |
| -0.001 |
| 0.000 |
| 2.045 |
| 2.147 |
| 3.054 |
| 3.805 |
| 4.090 |
| 5.767 |
| 5.786 |
| 7.468 |
| 8.004 |
| 8.105 |
| 8.159 |
| 8.514 |
| 9.099 |
| 10.390 |
| 10.537 |
| Property |
Value |
| from where |
c2db-153 |