Cl2Hf2N2
MatHub2d-1327-Cl2Hf2N2
| Property |
Value |
| Space group |
(59, 'Pmmn') |
| Crystal system |
rectangular |
| Magnetic |
No |
| Band gap (PBE) (eV) |
2.14 |
| Free energy (eV) |
-51.445 |
| Free energy / atom (eV) |
-8.574 |
Lattice Parameters (basic)
| a, b, c (Å): | 3.504 | 4.159 | 30.000 |
| α, β, γ (°): | 90.000 | 90.000 | 90.000 |
Lattice Parameters (computed)
| a, b, c (Å): | 3.493 | 4.140 | 30.000 |
| α, β, γ (°): | 90.000 | 90.000 | 90.000 |
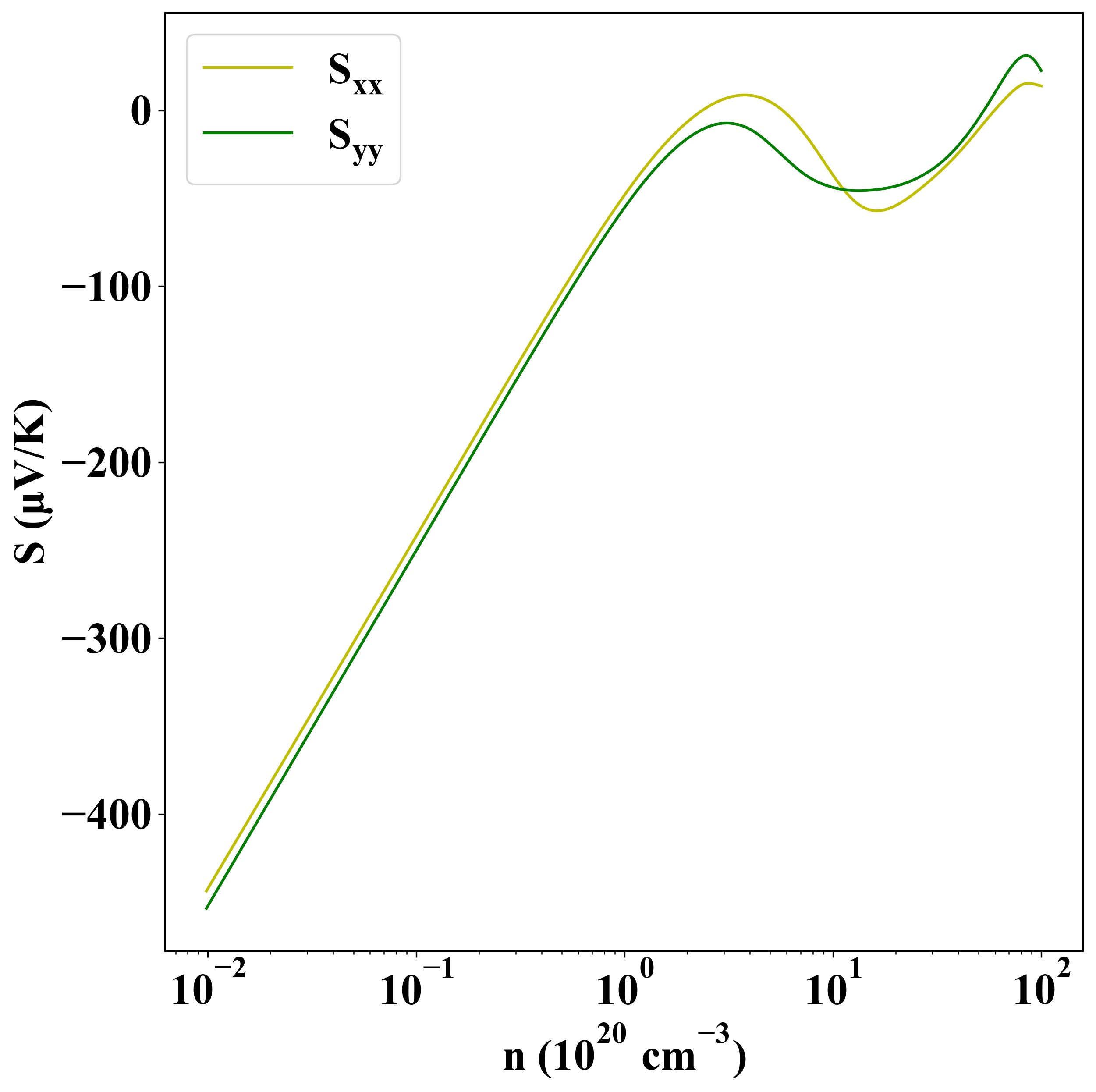
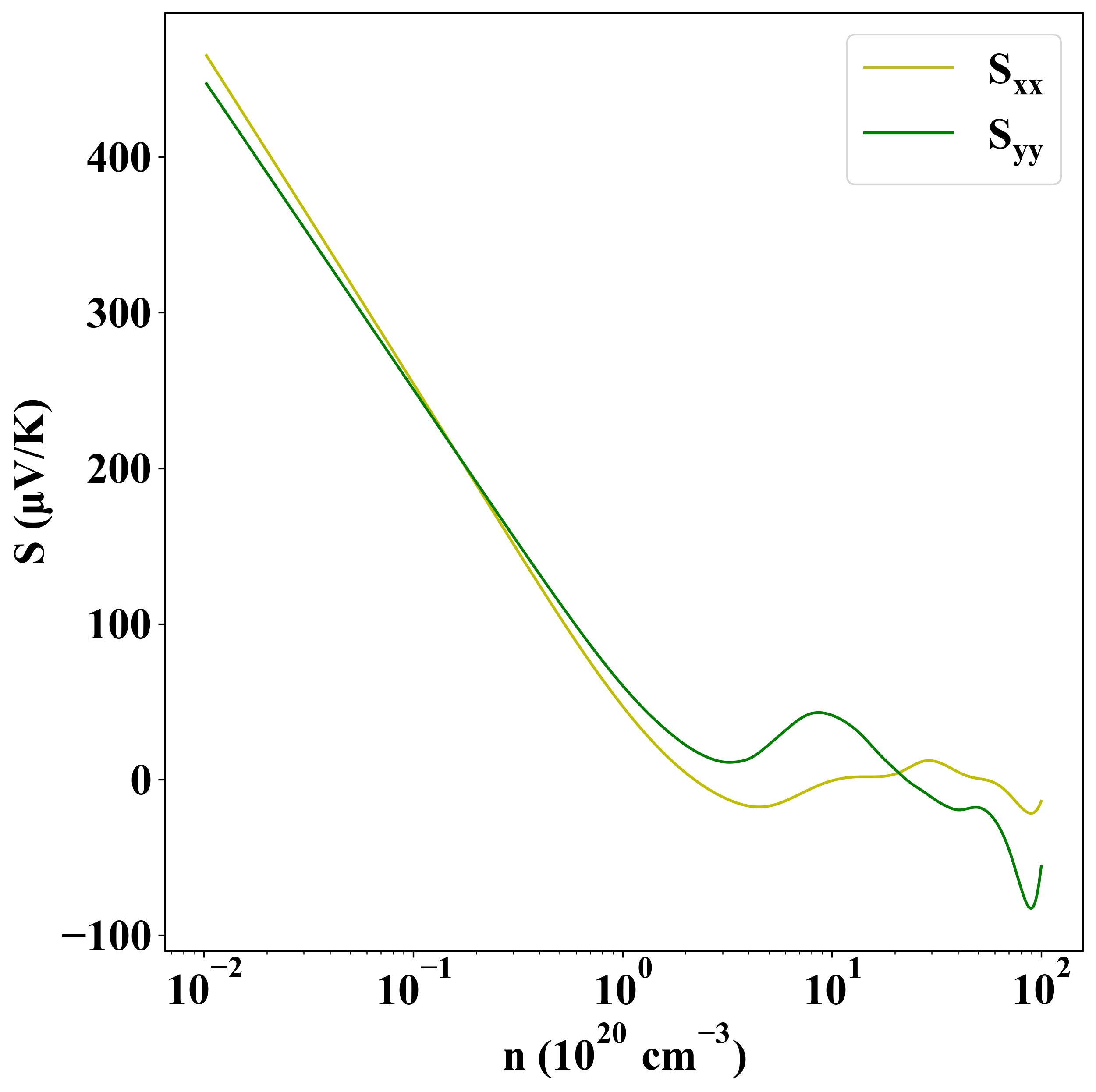
| Property |
Value |
| Band gap |
2.14 eV |
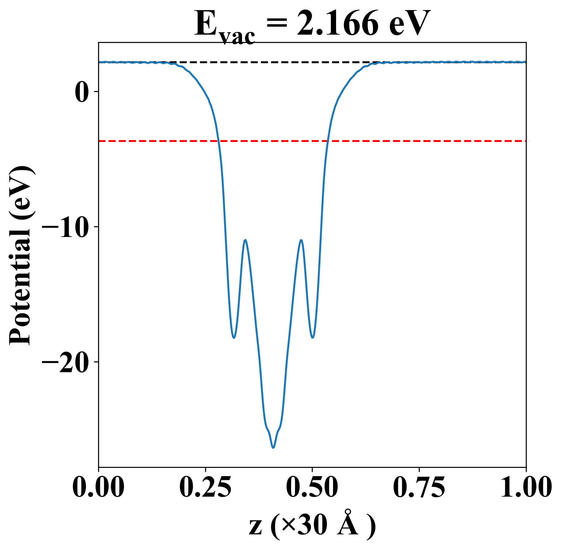
| E-fermi |
-3.675 eV |
| Vacuum level |
2.166 eV |
| VBM |
-3.917 eV |
| CBM |
-1.777 eV |
| Work function |
5.841 eV |
| Direct gap |
Yes |
| Property |
Value |
| Band gap |
2.16 eV |
| E-fermi |
-3.569 eV |
| VBM |
-3.928 eV |
| CBM |
-1.772 eV |
| Free energy (eV) |
-52.729 |
| Free energy / atom (eV) |
-8.788 |
| Property |
Value |
| Band gap |
2.14 eV |
| E-fermi |
-3.675 eV |
| Vacuum level |
2.166 eV |
| VBM |
-3.917 eV |
| CBM |
-1.777 eV |
| Work function |
5.841 eV |
| Cij (N/m) |
xx |
yy |
xy |
| xx |
150.494 |
38.280 |
0.000 |
| yy |
38.280 |
147.349 |
0.000 |
| xy |
0.000 |
0.000 |
70.097 |
| Phonon mode at Γ point (THz) |
| -0.004 |
| -0.003 |
| -0.001 |
| 2.352 |
| 2.615 |
| 3.692 |
| 3.883 |
| 4.030 |
| 4.392 |
| 4.645 |
| 8.727 |
| 8.854 |
| 11.940 |
| 12.626 |
| 13.759 |
| 18.210 |
| 18.409 |
| 19.933 |
| Property |
Value |
| from where |
c2db-151 |