Cl2Ge2O2
MatHub2d-1324-Cl2Ge2O2
| Property |
Value |
| Space group |
(59, 'Pmmn') |
| Crystal system |
rectangular |
| Magnetic |
No |
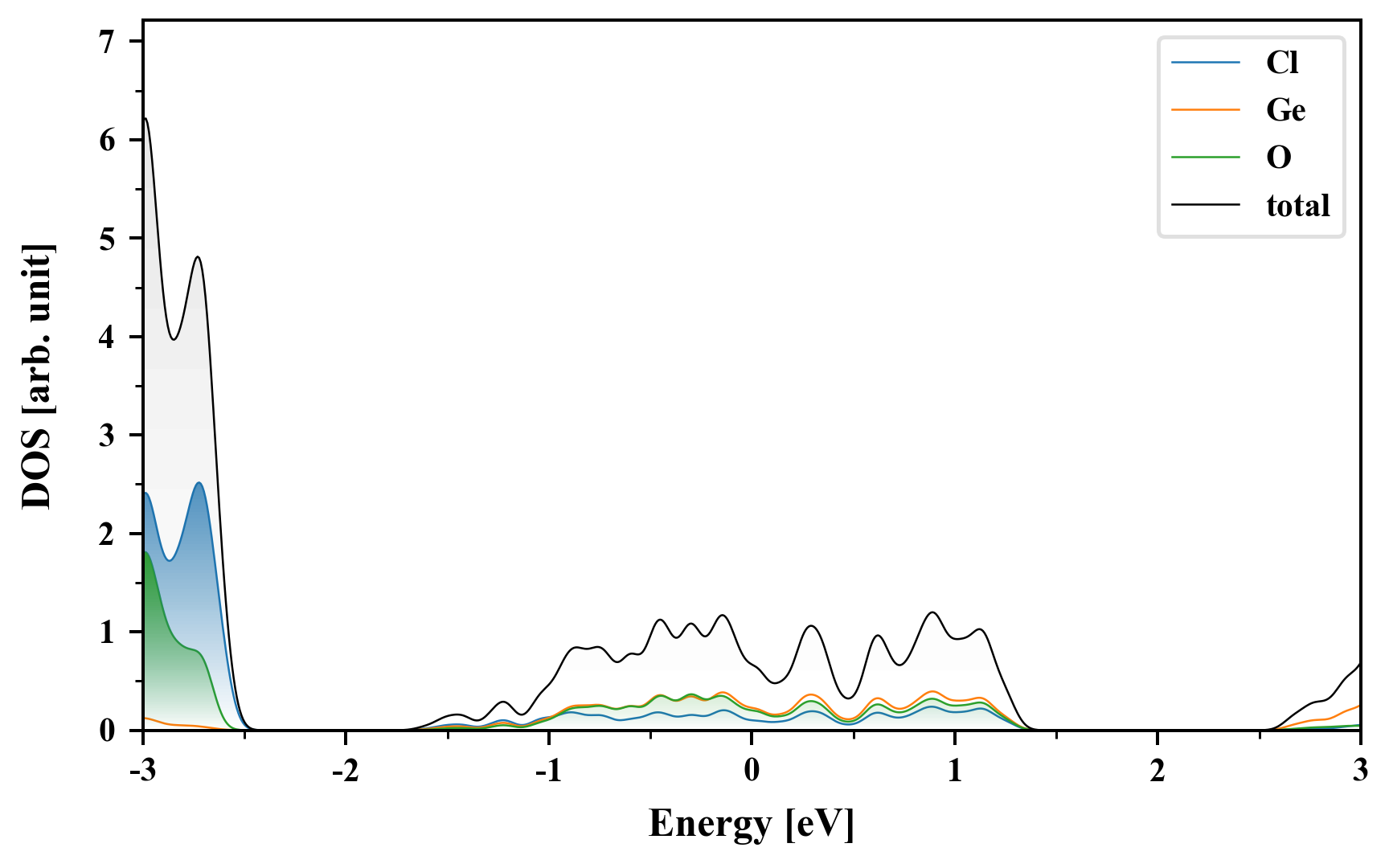
| Band gap (PBE) (eV) |
0.00 |
| Free energy (eV) |
-27.888 |
| Free energy / atom (eV) |
-4.648 |
Lattice Parameters (basic)
| a, b, c (Å): | 3.546 | 3.894 | 30.000 |
| α, β, γ (°): | 90.000 | 90.000 | 90.000 |
Lattice Parameters (computed)
| a, b, c (Å): | 3.551 | 3.890 | 30.000 |
| α, β, γ (°): | 90.000 | 90.000 | 90.000 |
| Property |
Value |
| Band gap |
0.00 eV |
| E-fermi |
-3.212 eV |
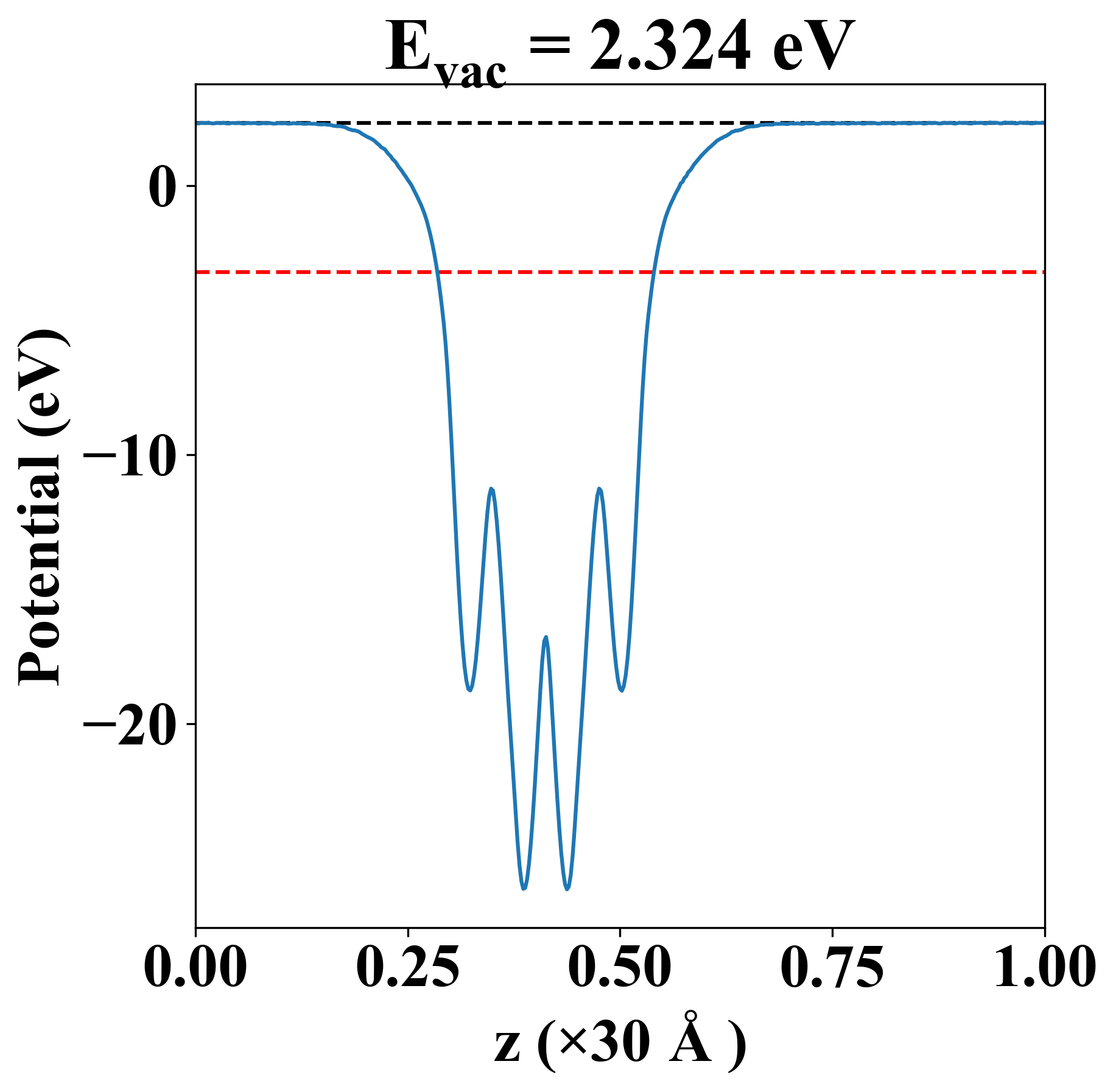
| Vacuum level |
2.324 eV |
| VBM |
-3.221 eV |
| CBM |
-3.205 eV |
| Work function |
5.536 eV |
| Direct gap |
No |
| Property |
Value |
| Band gap |
0.00 eV |
| E-fermi |
-3.212 eV |
| Vacuum level |
2.324 eV |
| VBM |
-3.221 eV |
| CBM |
-3.205 eV |
| Work function |
5.536 eV |
| Cij (N/m) |
xx |
yy |
xy |
| xx |
59.896 |
31.834 |
0.000 |
| yy |
31.834 |
92.752 |
0.000 |
| xy |
0.000 |
0.000 |
27.974 |
| Phonon mode at Γ point (THz) |
| Property |
Value |
| from where |
c2db-55 |