Cl2Ge2N2
MatHub2d-1323-Cl2Ge2N2
| Property |
Value |
| Space group |
(59, 'Pmmn') |
| Crystal system |
rectangular |
| Magnetic |
No |
| Band gap (PBE) (eV) |
1.84 |
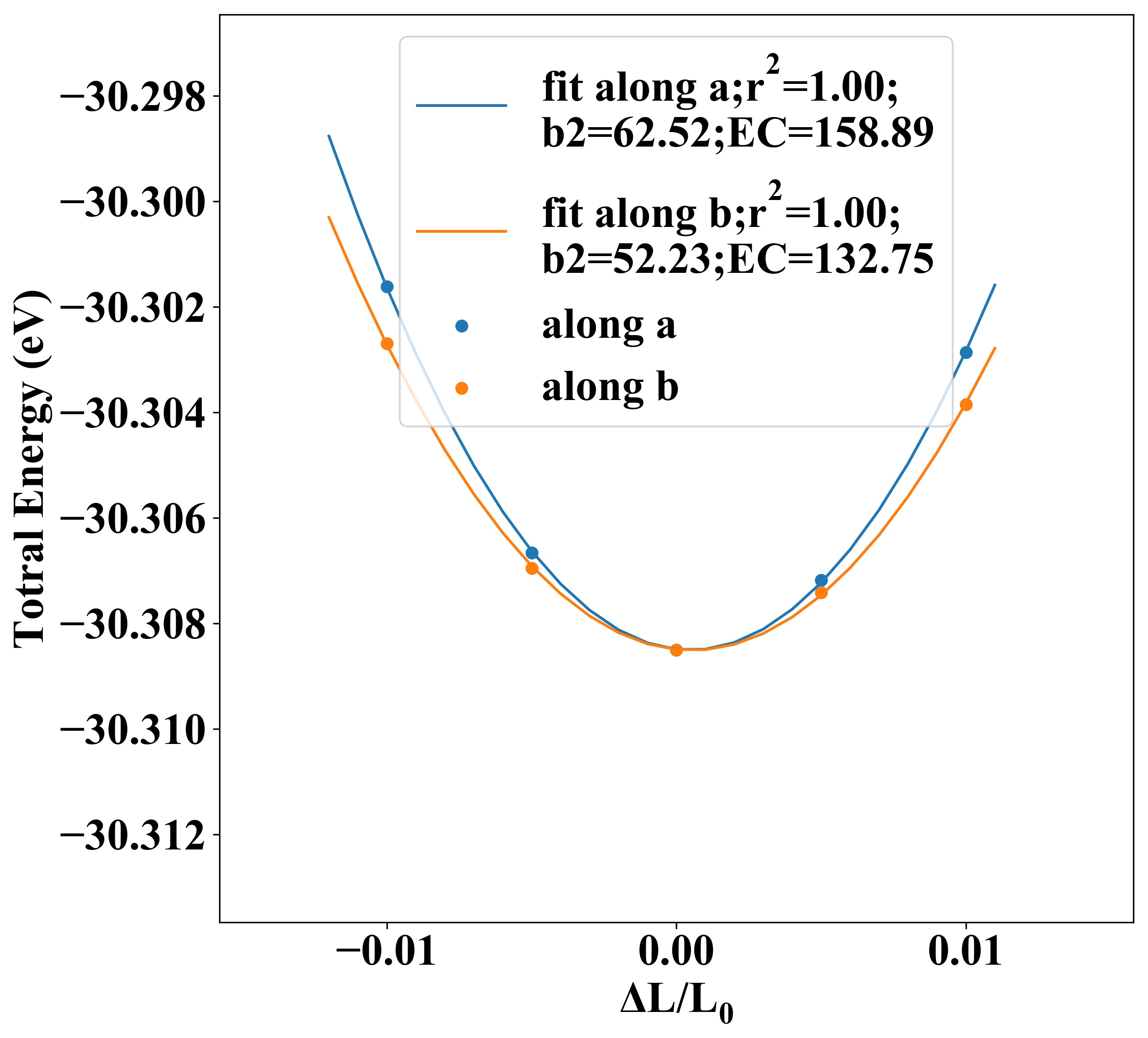
| Free energy (eV) |
-30.308 |
| Free energy / atom (eV) |
-5.051 |
Lattice Parameters (basic)
| a, b, c (Å): | 3.204 | 3.890 | 30.000 |
| α, β, γ (°): | 90.000 | 90.000 | 90.000 |
Lattice Parameters (computed)
| a, b, c (Å): | 3.211 | 3.882 | 30.000 |
| α, β, γ (°): | 90.000 | 90.000 | 90.000 |
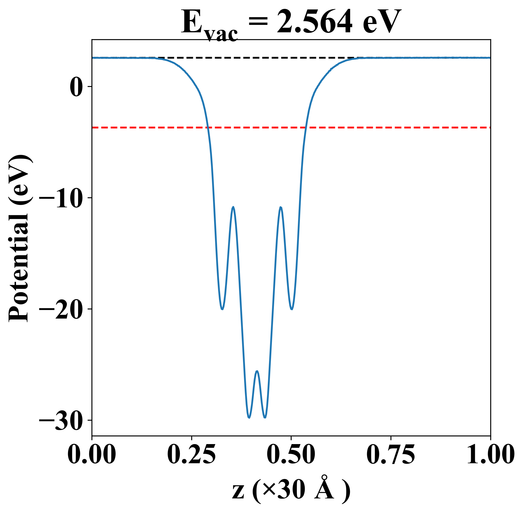
| Property |
Value |
| Band gap |
1.84 eV |
| E-fermi |
-3.707 eV |
| Vacuum level |
2.564 eV |
| VBM |
-3.999 eV |
| CBM |
-2.158 eV |
| Work function |
6.271 eV |
| Direct gap |
Yes |
| Property |
Value |
| Band gap |
1.84 eV |
| E-fermi |
-3.740 eV |
| VBM |
-3.994 eV |
| CBM |
-2.157 eV |
| Free energy (eV) |
-30.325 |
| Free energy / atom (eV) |
-5.054 |
| Property |
Value |
| Band gap |
1.84 eV |
| E-fermi |
-3.707 eV |
| Vacuum level |
2.564 eV |
| VBM |
-3.999 eV |
| CBM |
-2.158 eV |
| Work function |
6.271 eV |
| Cij (N/m) |
xx |
yy |
xy |
| xx |
161.267 |
44.280 |
0.000 |
| yy |
44.280 |
135.480 |
0.000 |
| xy |
0.000 |
0.000 |
83.212 |
| Phonon mode at Γ point (THz) |
| -0.052 |
| -0.018 |
| -0.004 |
| 2.215 |
| 2.389 |
| 3.274 |
| 4.048 |
| 5.007 |
| 5.976 |
| 7.226 |
| 9.556 |
| 10.423 |
| 12.004 |
| 14.418 |
| 15.709 |
| 15.713 |
| 18.022 |
| 24.094 |
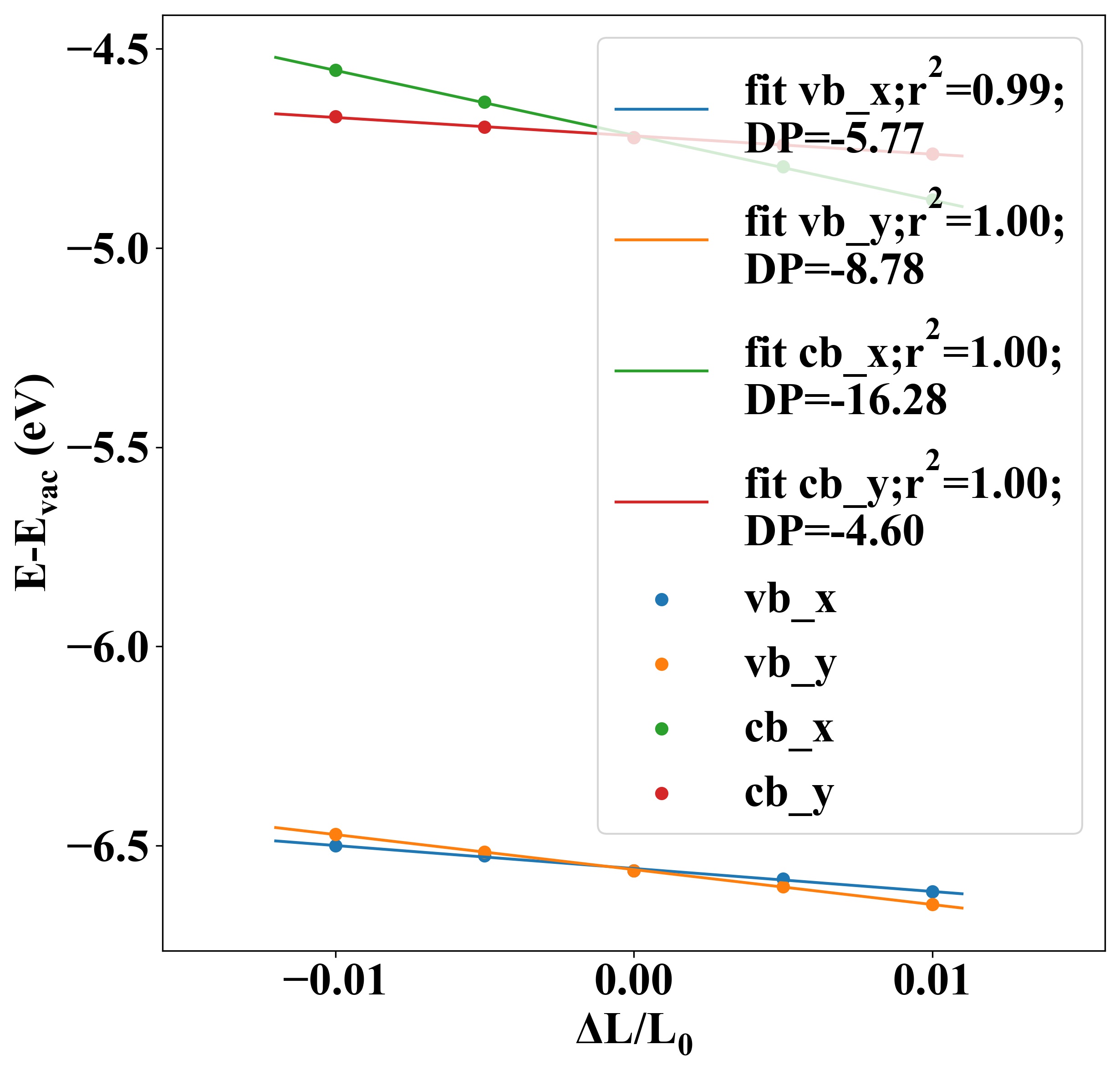
| Carrier type |
C2D (N/m) |
Edef (eV) |
μ (cm2V-1s-1) |
| x |
y |
x |
y |
x |
y |
| hole |
158.89 |
132.75 |
-5.77 |
-8.78 |
-215.26 |
-13.78 |
| electron |
-16.28 |
-4.60 |
40.55 |
169.90 |
| Property |
Value |
| from where |
c2db-54 |