Cl2Ga2Se2
MatHub2d-1322-Cl2Ga2Se2
| Property |
Value |
| Space group |
(59, 'Pmmn') |
| Crystal system |
rectangular |
| Magnetic |
No |
| Band gap (PBE) (eV) |
0.61 |
| Free energy (eV) |
-20.760 |
| Free energy / atom (eV) |
-3.460 |
Lattice Parameters (basic)
| a, b, c (Å): | 3.590 | 5.396 | 30.000 |
| α, β, γ (°): | 90.000 | 90.000 | 90.000 |
Lattice Parameters (computed)
| a, b, c (Å): | 3.544 | 5.334 | 30.000 |
| α, β, γ (°): | 90.000 | 90.000 | 90.000 |
| Property |
Value |
| Band gap |
0.61 eV |
| E-fermi |
-3.193 eV |
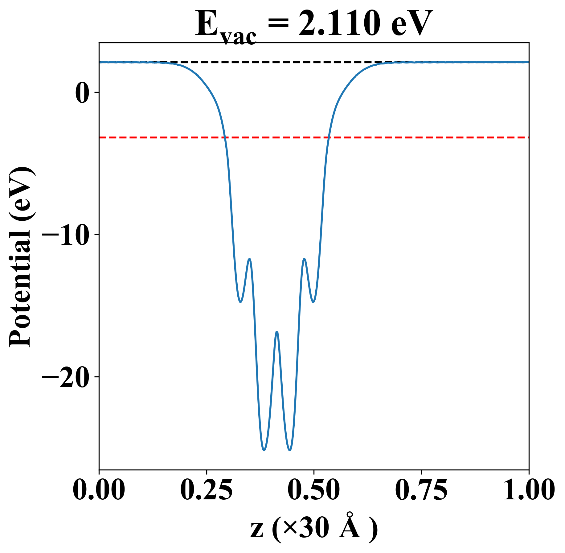
| Vacuum level |
2.110 eV |
| VBM |
-3.513 eV |
| CBM |
-2.903 eV |
| Work function |
5.303 eV |
| Direct gap |
No |
| Property |
Value |
| Band gap |
0.61 eV |
| E-fermi |
-3.268 eV |
| VBM |
-3.511 eV |
| CBM |
-2.903 eV |
| Free energy (eV) |
-20.815 |
| Free energy / atom (eV) |
-3.469 |
| Property |
Value |
| Band gap |
0.61 eV |
| E-fermi |
-3.193 eV |
| Vacuum level |
2.110 eV |
| VBM |
-3.513 eV |
| CBM |
-2.903 eV |
| Work function |
5.303 eV |
| Cij (N/m) |
xx |
yy |
xy |
| xx |
92.504 |
9.911 |
0.000 |
| yy |
9.911 |
50.606 |
0.000 |
| xy |
0.000 |
0.000 |
23.274 |
| Phonon mode at Γ point (THz) |
| Property |
Value |
| from where |
c2db-139 |