Cl2Ga2S2
MatHub2d-1321-Cl2Ga2S2
| Property |
Value |
| Space group |
(59, 'Pmmn') |
| Crystal system |
rectangular |
| Magnetic |
No |
| Band gap (PBE) (eV) |
1.51 |
| Free energy (eV) |
-22.612 |
| Free energy / atom (eV) |
-3.769 |
Lattice Parameters (basic)
| a, b, c (Å): | 3.482 | 5.072 | 30.000 |
| α, β, γ (°): | 90.000 | 90.000 | 90.000 |
Lattice Parameters (computed)
| a, b, c (Å): | 3.429 | 5.002 | 30.000 |
| α, β, γ (°): | 90.000 | 90.000 | 90.000 |
| Property |
Value |
| Band gap |
1.51 eV |
| E-fermi |
-3.672 eV |
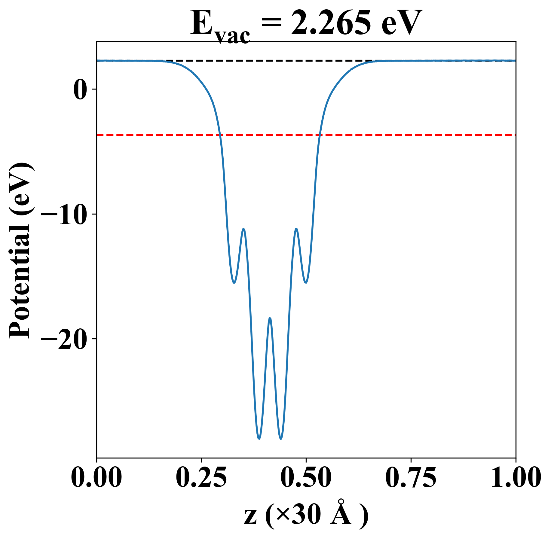
| Vacuum level |
2.265 eV |
| VBM |
-3.947 eV |
| CBM |
-2.441 eV |
| Work function |
5.937 eV |
| Direct gap |
No |
| Property |
Value |
| Band gap |
1.51 eV |
| E-fermi |
-3.743 eV |
| VBM |
-3.954 eV |
| CBM |
-2.447 eV |
| Free energy (eV) |
-22.627 |
| Free energy / atom (eV) |
-3.771 |
| Property |
Value |
| Band gap |
1.51 eV |
| E-fermi |
-3.672 eV |
| Vacuum level |
2.265 eV |
| VBM |
-3.947 eV |
| CBM |
-2.441 eV |
| Work function |
5.937 eV |
| Cij (N/m) |
xx |
yy |
xy |
| xx |
105.569 |
13.712 |
0.000 |
| yy |
13.712 |
58.278 |
0.000 |
| xy |
0.000 |
0.000 |
28.312 |
| Phonon mode at Γ point (THz) |
| -0.015 |
| -0.007 |
| -0.001 |
| 1.758 |
| 1.770 |
| 2.260 |
| 2.880 |
| 3.028 |
| 3.206 |
| 3.893 |
| 4.789 |
| 7.166 |
| 7.800 |
| 8.724 |
| 8.760 |
| 9.520 |
| 10.347 |
| 10.751 |
| Property |
Value |
| from where |
c2db-138 |