Cl2Ga2O2
MatHub2d-1320-Cl2Ga2O2
| Property |
Value |
| Space group |
(59, 'Pmmn') |
| Crystal system |
rectangular |
| Magnetic |
No |
| Band gap (PBE) (eV) |
4.26 |
| Free energy (eV) |
-29.270 |
| Free energy / atom (eV) |
-4.878 |
Lattice Parameters (basic)
| a, b, c (Å): | 3.276 | 3.870 | 30.000 |
| α, β, γ (°): | 90.000 | 90.000 | 90.000 |
Lattice Parameters (computed)
| a, b, c (Å): | 3.235 | 3.722 | 30.000 |
| α, β, γ (°): | 90.000 | 90.000 | 90.000 |
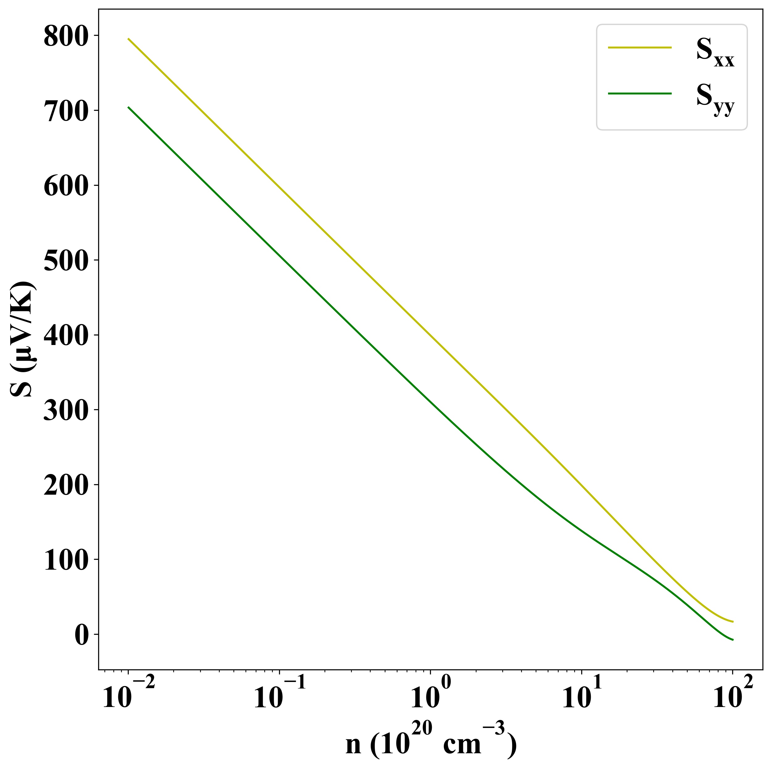
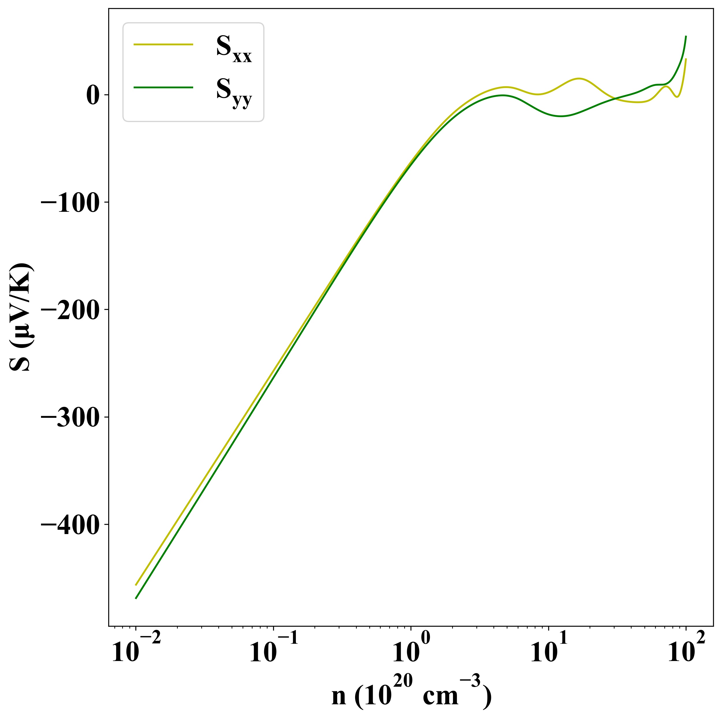
| Property |
Value |
| Band gap |
4.26 eV |
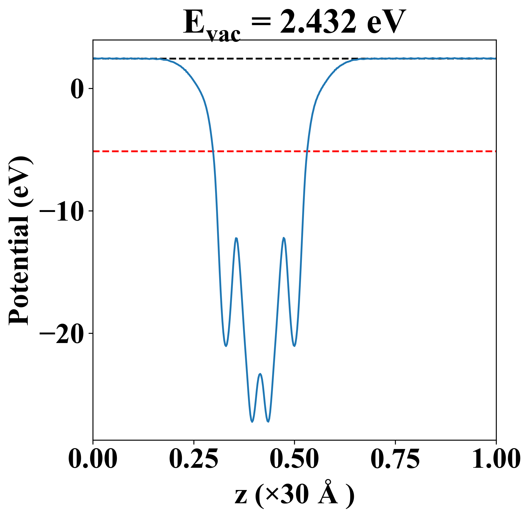
| E-fermi |
-5.153 eV |
| Vacuum level |
2.432 eV |
| VBM |
-5.392 eV |
| CBM |
-1.127 eV |
| Work function |
7.585 eV |
| Direct gap |
No |
| Property |
Value |
| Band gap |
4.26 eV |
| E-fermi |
-5.080 eV |
| VBM |
-5.388 eV |
| CBM |
-1.126 eV |
| Free energy (eV) |
-29.283 |
| Free energy / atom (eV) |
-4.880 |
| Property |
Value |
| Band gap |
4.26 eV |
| E-fermi |
-5.153 eV |
| Vacuum level |
2.432 eV |
| VBM |
-5.392 eV |
| CBM |
-1.127 eV |
| Work function |
7.585 eV |
| Cij (N/m) |
xx |
yy |
xy |
| xx |
140.165 |
49.630 |
0.000 |
| yy |
49.630 |
120.436 |
0.000 |
| xy |
0.000 |
0.000 |
55.571 |
| Phonon mode at Γ point (THz) |
| Property |
Value |
| from where |
c2db-137 |