Cl2Fe2Se2
MatHub2d-1318-Cl2Fe2Se2
| Property |
Value |
| Space group |
(59, 'Pmmn') |
| Crystal system |
rectangular |
| Magnetic |
Yes |
| Band gap (PBE) (eV) |
0.00 |
| Free energy (eV) |
-25.215 |
| Free energy / atom (eV) |
-4.202 |
Lattice Parameters (basic)
| a, b, c (Å): | 3.346 | 5.030 | 30.000 |
| α, β, γ (°): | 90.000 | 90.000 | 90.000 |
Lattice Parameters (computed)
| a, b, c (Å): | 3.646 | 4.848 | 30.000 |
| α, β, γ (°): | 90.000 | 90.000 | 90.000 |
| Property |
Value |
| Band gap |
0.00 eV |
| E-fermi |
-3.372 eV |
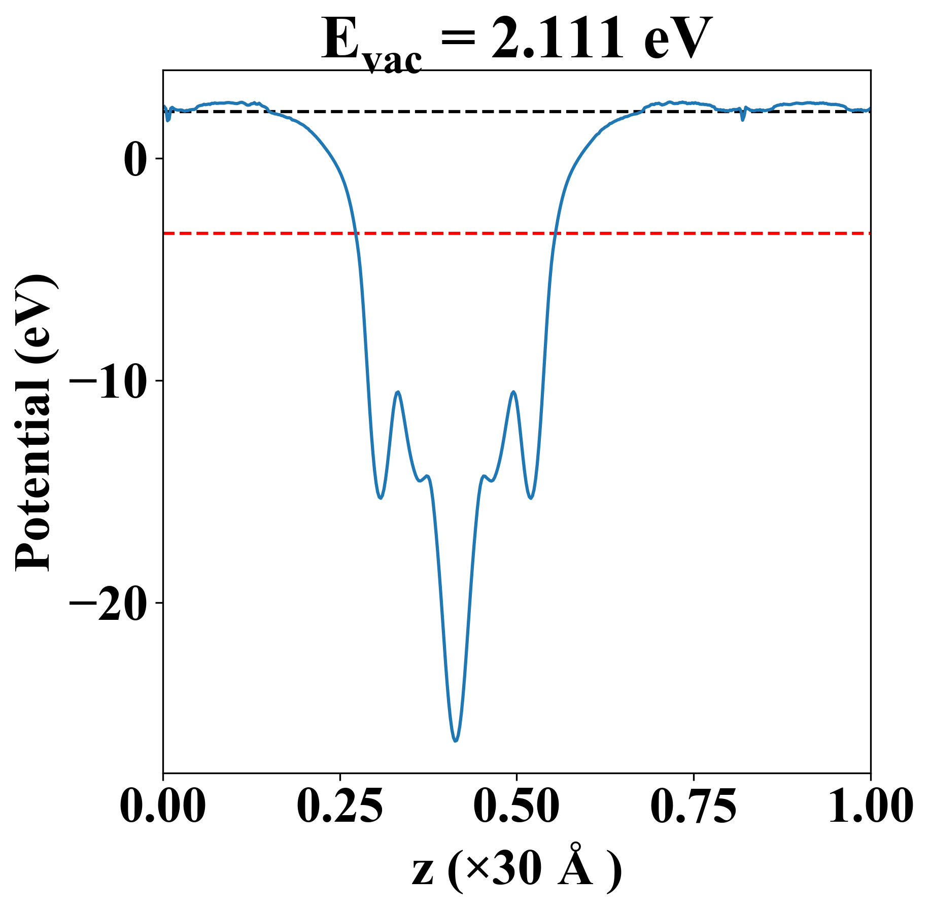
| Vacuum level |
2.111 eV |
| VBM |
-3.373 eV |
| CBM |
-3.370 eV |
| Work function |
5.483 eV |
| Direct gap |
No |
| Property |
Value |
| Band gap |
0.00 eV |
| E-fermi |
-3.372 eV |
| Vacuum level |
2.111 eV |
| VBM |
-3.373 eV |
| CBM |
-3.370 eV |
| Work function |
5.483 eV |
| Cij (N/m) |
xx |
yy |
xy |
| xx |
60.190 |
15.206 |
0.000 |
| yy |
15.206 |
-53.620 |
0.000 |
| xy |
0.000 |
0.000 |
12.412 |
| Phonon mode at Γ point (THz) |
| -2.666 |
| -1.175 |
| -0.772 |
| -0.020 |
| -0.003 |
| -0.003 |
| 1.186 |
| 1.186 |
| 1.346 |
| 2.900 |
| 3.017 |
| 3.367 |
| 3.766 |
| 5.129 |
| 5.173 |
| 5.488 |
| 6.286 |
| 6.344 |
| Property |
Value |
| from where |
c2db-121 |