Cl2Fe2S2
MatHub2d-1317-Cl2Fe2S2
| Property |
Value |
| Space group |
(59, 'Pmmn') |
| Crystal system |
rectangular |
| Magnetic |
Yes |
| Band gap (PBE) (eV) |
0.00 |
| Free energy (eV) |
-26.348 |
| Free energy / atom (eV) |
-4.391 |
Lattice Parameters (basic)
| a, b, c (Å): | 3.238 | 4.581 | 30.000 |
| α, β, γ (°): | 90.000 | 90.000 | 90.000 |
Lattice Parameters (computed)
| a, b, c (Å): | 3.447 | 4.980 | 30.000 |
| α, β, γ (°): | 90.000 | 90.000 | 90.000 |
| Property |
Value |
| Band gap |
0.00 eV |
| E-fermi |
-4.418 eV |
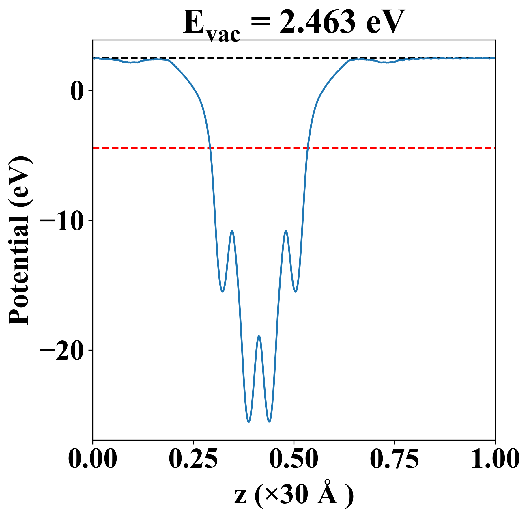
| Vacuum level |
2.463 eV |
| VBM |
-4.419 eV |
| CBM |
-4.417 eV |
| Work function |
6.882 eV |
| Direct gap |
No |
| Property |
Value |
| Band gap |
0.00 eV |
| E-fermi |
-4.418 eV |
| Vacuum level |
2.463 eV |
| VBM |
-4.419 eV |
| CBM |
-4.417 eV |
| Work function |
6.882 eV |
| Cij (N/m) |
xx |
yy |
xy |
| xx |
61.113 |
10.438 |
0.000 |
| yy |
10.438 |
13.984 |
0.000 |
| xy |
0.000 |
0.000 |
21.214 |
| Phonon mode at Γ point (THz) |
| -5.779 |
| -5.109 |
| -0.013 |
| -0.012 |
| -0.009 |
| 2.380 |
| 3.064 |
| 3.521 |
| 3.792 |
| 3.915 |
| 4.416 |
| 5.251 |
| 5.518 |
| 5.741 |
| 6.033 |
| 6.427 |
| 6.692 |
| 6.759 |
| Property |
Value |
| from where |
c2db-119 |