Cl2Fe2O2
MatHub2d-1316-Cl2Fe2O2
| Property |
Value |
| Space group |
(59, 'Pmmn') |
| Crystal system |
rectangular |
| Magnetic |
Yes |
| Band gap (PBE) (eV) |
0.00 |
| Free energy (eV) |
-32.288 |
| Free energy / atom (eV) |
-5.381 |
Lattice Parameters (basic)
| a, b, c (Å): | 3.154 | 3.747 | 30.000 |
| α, β, γ (°): | 90.000 | 90.000 | 90.000 |
Lattice Parameters (computed)
| a, b, c (Å): | 3.314 | 3.808 | 30.000 |
| α, β, γ (°): | 90.000 | 90.000 | 90.000 |
| Property |
Value |
| Band gap |
0.00 eV |
| E-fermi |
-4.704 eV |
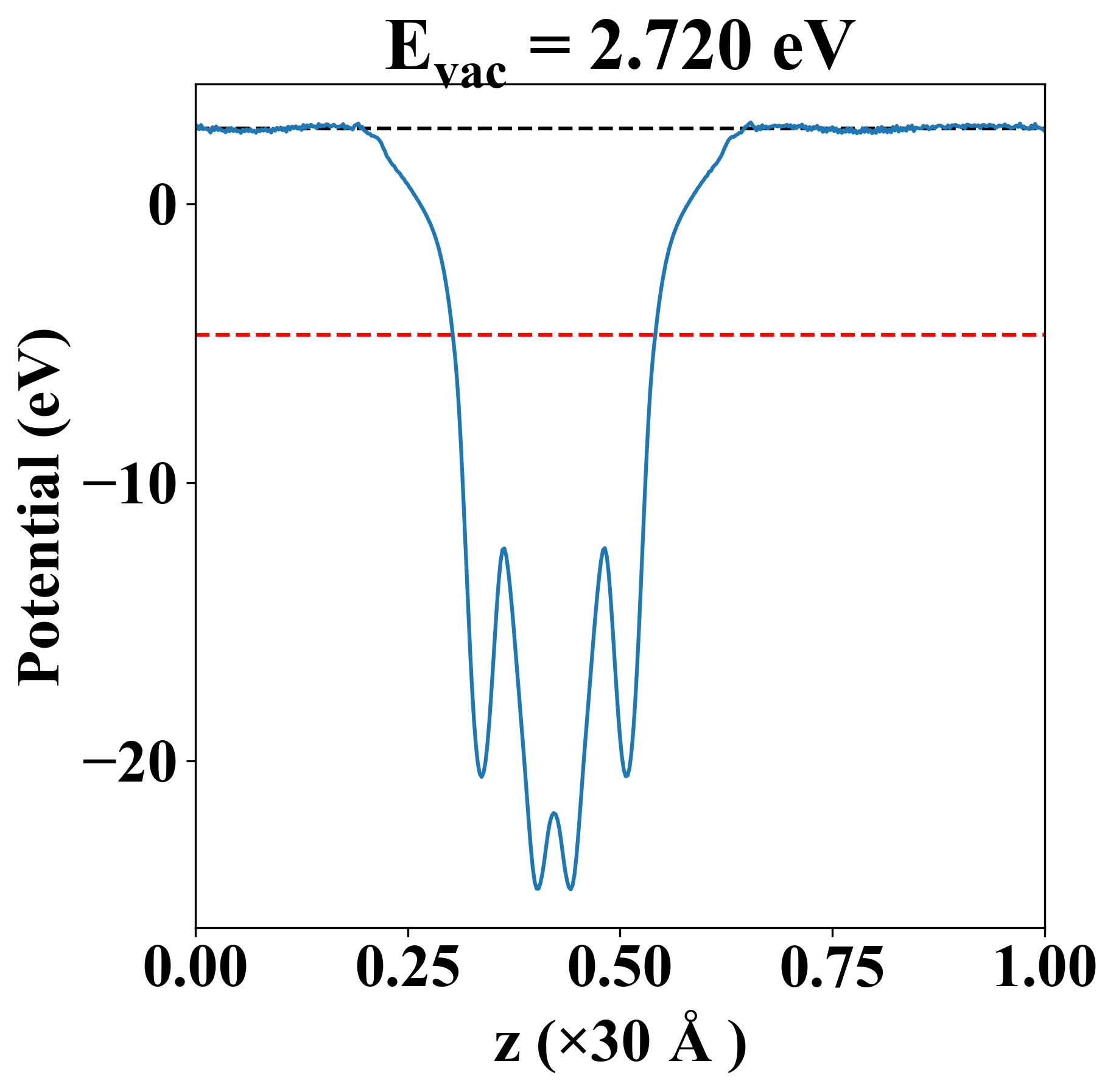
| Vacuum level |
2.720 eV |
| VBM |
-4.919 eV |
| CBM |
-3.278 eV |
| Work function |
7.424 eV |
| Direct gap |
No |
| Property |
Value |
| Band gap |
1.62 eV |
| E-fermi |
-4.684 eV |
| VBM |
-4.927 eV |
| CBM |
-3.302 eV |
| Free energy (eV) |
-32.304 |
| Free energy / atom (eV) |
-5.384 |
| Property |
Value |
| Band gap |
0.00 eV |
| E-fermi |
-4.704 eV |
| Vacuum level |
2.720 eV |
| VBM |
-4.919 eV |
| CBM |
-3.278 eV |
| Work function |
7.424 eV |
| Cij (N/m) |
xx |
yy |
xy |
| xx |
86.570 |
42.052 |
0.000 |
| yy |
42.052 |
69.906 |
0.000 |
| xy |
0.000 |
0.000 |
30.926 |
| Phonon mode at Γ point (THz) |
| -0.733 |
| -0.020 |
| -0.014 |
| -0.011 |
| 2.805 |
| 3.023 |
| 4.169 |
| 4.402 |
| 4.848 |
| 5.319 |
| 5.619 |
| 6.453 |
| 6.627 |
| 7.005 |
| 7.117 |
| 8.019 |
| 10.084 |
| 13.371 |
| Property |
Value |
| from where |
c2db-118 |