Cl2Fe2N2
MatHub2d-1315-Cl2Fe2N2
| Property |
Value |
| Space group |
(59, 'Pmmn') |
| Crystal system |
rectangular |
| Magnetic |
Yes |
| Band gap (PBE) (eV) |
0.00 |
| Free energy (eV) |
-30.786 |
| Free energy / atom (eV) |
-5.131 |
Lattice Parameters (basic)
| a, b, c (Å): | 3.133 | 3.775 | 30.000 |
| α, β, γ (°): | 90.000 | 90.000 | 90.000 |
Lattice Parameters (computed)
| a, b, c (Å): | 3.282 | 3.842 | 30.000 |
| α, β, γ (°): | 90.000 | 90.000 | 90.000 |
| Property |
Value |
| Band gap |
0.00 eV |
| E-fermi |
-4.702 eV |
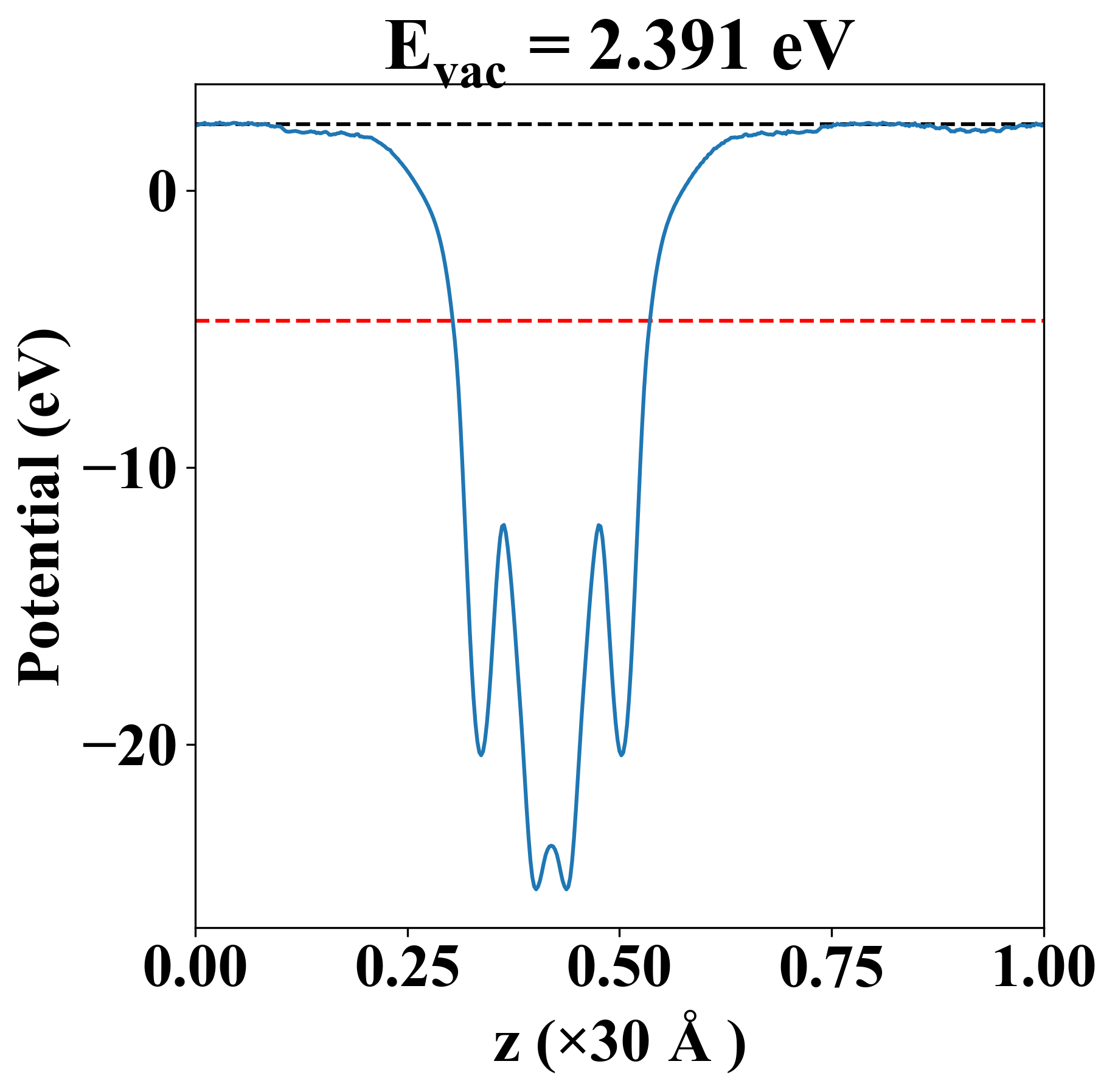
| Vacuum level |
2.391 eV |
| VBM |
-4.702 eV |
| CBM |
-4.702 eV |
| Work function |
7.093 eV |
| Direct gap |
No |
| Property |
Value |
| Band gap |
0.00 eV |
| E-fermi |
-4.702 eV |
| Vacuum level |
2.391 eV |
| VBM |
-4.702 eV |
| CBM |
-4.702 eV |
| Work function |
7.093 eV |
| Cij (N/m) |
xx |
yy |
xy |
| xx |
-53.349 |
198.017 |
0.000 |
| yy |
198.017 |
-107.510 |
0.000 |
| xy |
0.000 |
0.000 |
12.431 |
| Phonon mode at Γ point (THz) |
| -12.560 |
| -11.864 |
| -8.770 |
| -7.225 |
| -1.131 |
| -0.005 |
| -0.005 |
| 0.011 |
| 2.047 |
| 3.227 |
| 4.492 |
| 4.499 |
| 4.669 |
| 4.875 |
| 5.910 |
| 7.191 |
| 8.300 |
| 8.794 |
| Property |
Value |
| from where |
c2db-116 |