Cl2F2
MatHub2d-1314-Cl2F2
| Property |
Value |
| Space group |
(4, 'P2_1') |
| Crystal system |
rectangular |
| Magnetic |
No |
| Band gap (PBE) (eV) |
2.48 |
| Free energy (eV) |
-8.704 |
| Free energy / atom (eV) |
-2.176 |
Lattice Parameters (basic)
| a, b, c (Å): | 3.653 | 3.630 | 30.000 |
| α, β, γ (°): | 90.000 | 90.000 | 90.000 |
Lattice Parameters (computed)
| a, b, c (Å): | 4.176 | 3.653 | 30.000 |
| α, β, γ (°): | 90.000 | 90.000 | 90.000 |
| Property |
Value |
| Band gap |
2.48 eV |
| E-fermi |
-6.614 eV |
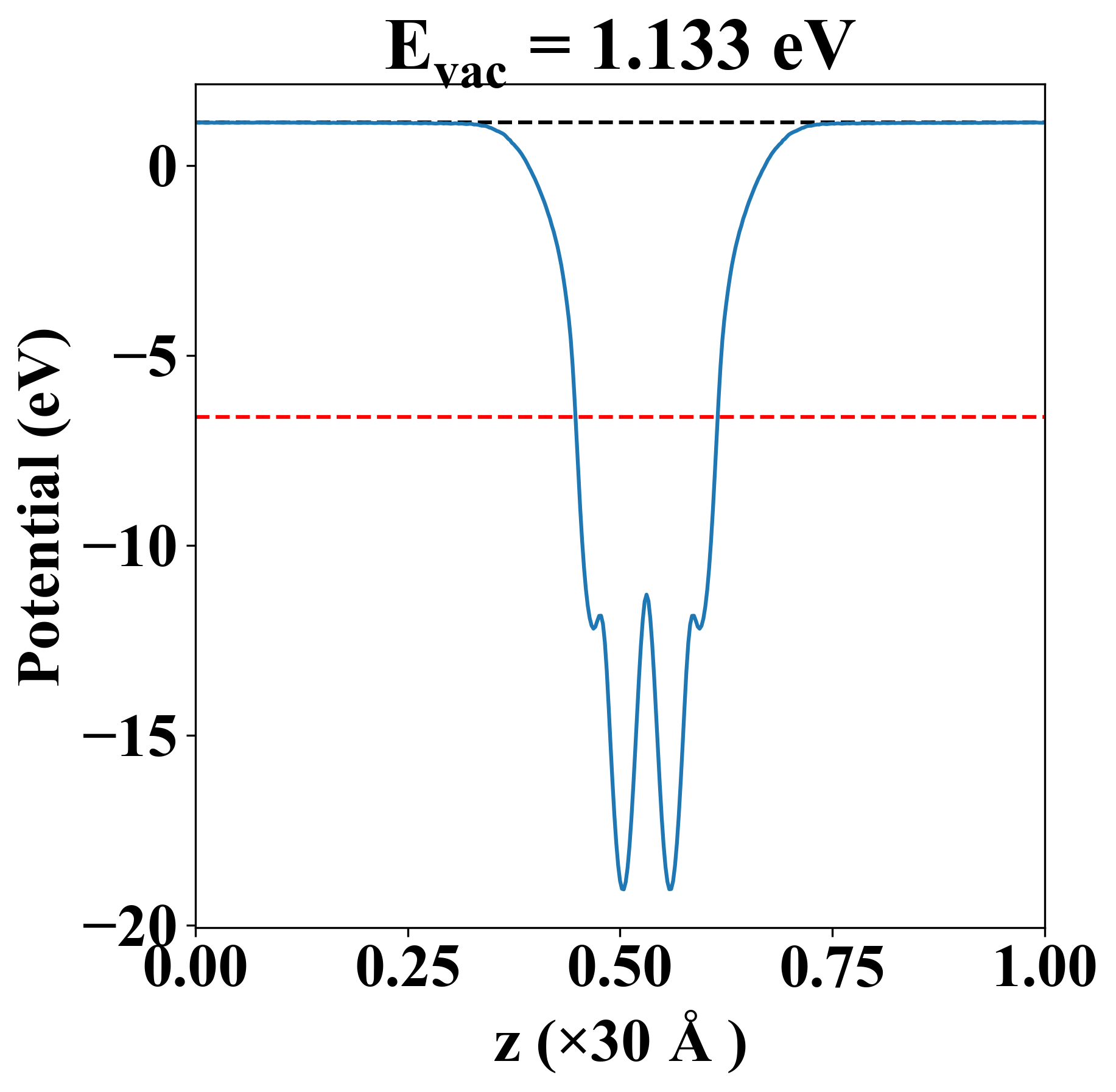
| Vacuum level |
1.133 eV |
| VBM |
-6.891 eV |
| CBM |
-4.408 eV |
| Work function |
7.747 eV |
| Direct gap |
No |
| Property |
Value |
| Band gap |
2.48 eV |
| E-fermi |
-6.640 eV |
| VBM |
-6.892 eV |
| CBM |
-4.409 eV |
| Free energy (eV) |
-8.708 |
| Free energy / atom (eV) |
-2.177 |
| Property |
Value |
| Band gap |
2.48 eV |
| E-fermi |
-6.614 eV |
| Vacuum level |
1.133 eV |
| VBM |
-6.891 eV |
| CBM |
-4.408 eV |
| Work function |
7.747 eV |
| Cij (N/m) |
xx |
yy |
xy |
| xx |
3.073 |
1.241 |
-0.000 |
| yy |
1.241 |
11.893 |
-0.000 |
| xy |
-0.000 |
-0.000 |
1.226 |
| Phonon mode at Γ point (THz) |
| -0.042 |
| -0.041 |
| -0.003 |
| 0.939 |
| 2.784 |
| 3.198 |
| 3.522 |
| 5.837 |
| 6.679 |
| 6.855 |
| 18.794 |
| 19.445 |
| Property |
Value |
| from where |
JVASP-6154 |