Cl2Er2S2
MatHub2d-1313-Cl2Er2S2
| Property |
Value |
| Space group |
(59, 'Pmmn') |
| Crystal system |
rectangular |
| Magnetic |
No |
| Band gap (PBE) (eV) |
3.05 |
| Free energy (eV) |
-34.052 |
| Free energy / atom (eV) |
-5.675 |
Lattice Parameters (basic)
| a, b, c (Å): | 3.921 | 5.305 | 30.000 |
| α, β, γ (°): | 90.000 | 90.000 | 90.000 |
Lattice Parameters (computed)
| a, b, c (Å): | 3.946 | 5.333 | 30.000 |
| α, β, γ (°): | 90.000 | 90.000 | 90.000 |
| Property |
Value |
| Band gap |
3.05 eV |
| E-fermi |
-4.586 eV |
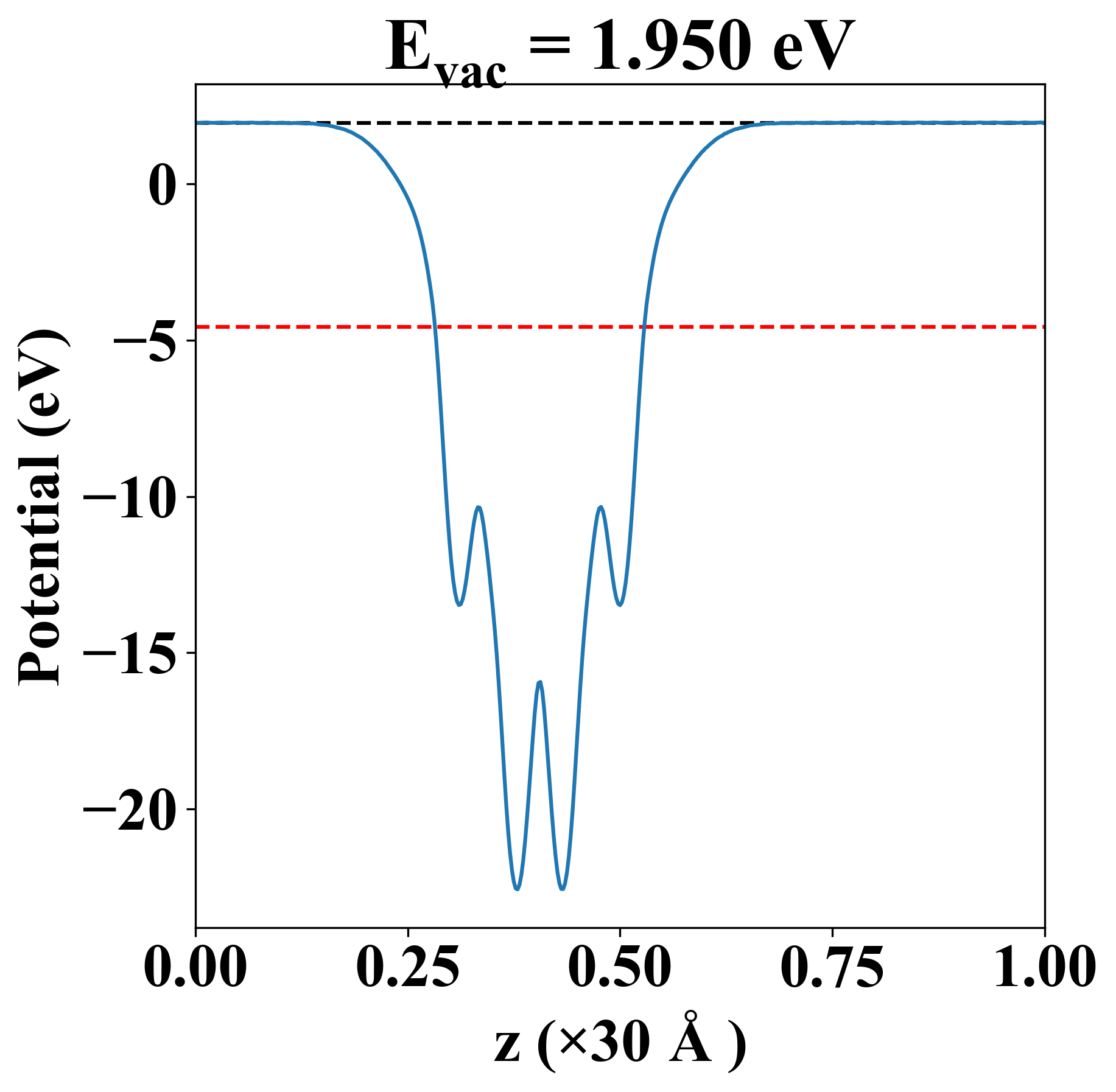
| Vacuum level |
1.950 eV |
| VBM |
-4.808 eV |
| CBM |
-1.758 eV |
| Work function |
6.536 eV |
| Direct gap |
Yes |
| Property |
Value |
| Band gap |
2.99 eV |
| E-fermi |
-4.476 eV |
| VBM |
-4.767 eV |
| CBM |
-1.776 eV |
| Free energy (eV) |
-34.625 |
| Free energy / atom (eV) |
-5.771 |
| Property |
Value |
| Band gap |
3.05 eV |
| E-fermi |
-4.586 eV |
| Vacuum level |
1.950 eV |
| VBM |
-4.808 eV |
| CBM |
-1.758 eV |
| Work function |
6.536 eV |
| Cij (N/m) |
xx |
yy |
xy |
| xx |
63.485 |
10.108 |
0.000 |
| yy |
10.108 |
86.341 |
0.000 |
| xy |
0.000 |
0.000 |
17.822 |
| Phonon mode at Γ point (THz) |
| -0.005 |
| -0.004 |
| 0.002 |
| 1.782 |
| 1.976 |
| 2.219 |
| 2.338 |
| 2.512 |
| 4.880 |
| 5.293 |
| 5.747 |
| 6.307 |
| 6.608 |
| 6.903 |
| 7.203 |
| 7.376 |
| 8.134 |
| 9.084 |
| Property |
Value |
| from where |
JVASP-6196 |