Cl2Er2O2
MatHub2d-1312-Cl2Er2O2
| Property |
Value |
| Space group |
(59, 'Pmmn') |
| Crystal system |
rectangular |
| Magnetic |
No |
| Band gap (PBE) (eV) |
5.32 |
| Free energy (eV) |
-41.173 |
| Free energy / atom (eV) |
-6.862 |
Lattice Parameters (basic)
| a, b, c (Å): | 3.716 | 4.129 | 30.000 |
| α, β, γ (°): | 90.000 | 90.000 | 90.000 |
Lattice Parameters (computed)
| a, b, c (Å): | 3.731 | 4.159 | 30.000 |
| α, β, γ (°): | 90.000 | 90.000 | 90.000 |
| Property |
Value |
| Band gap |
5.32 eV |
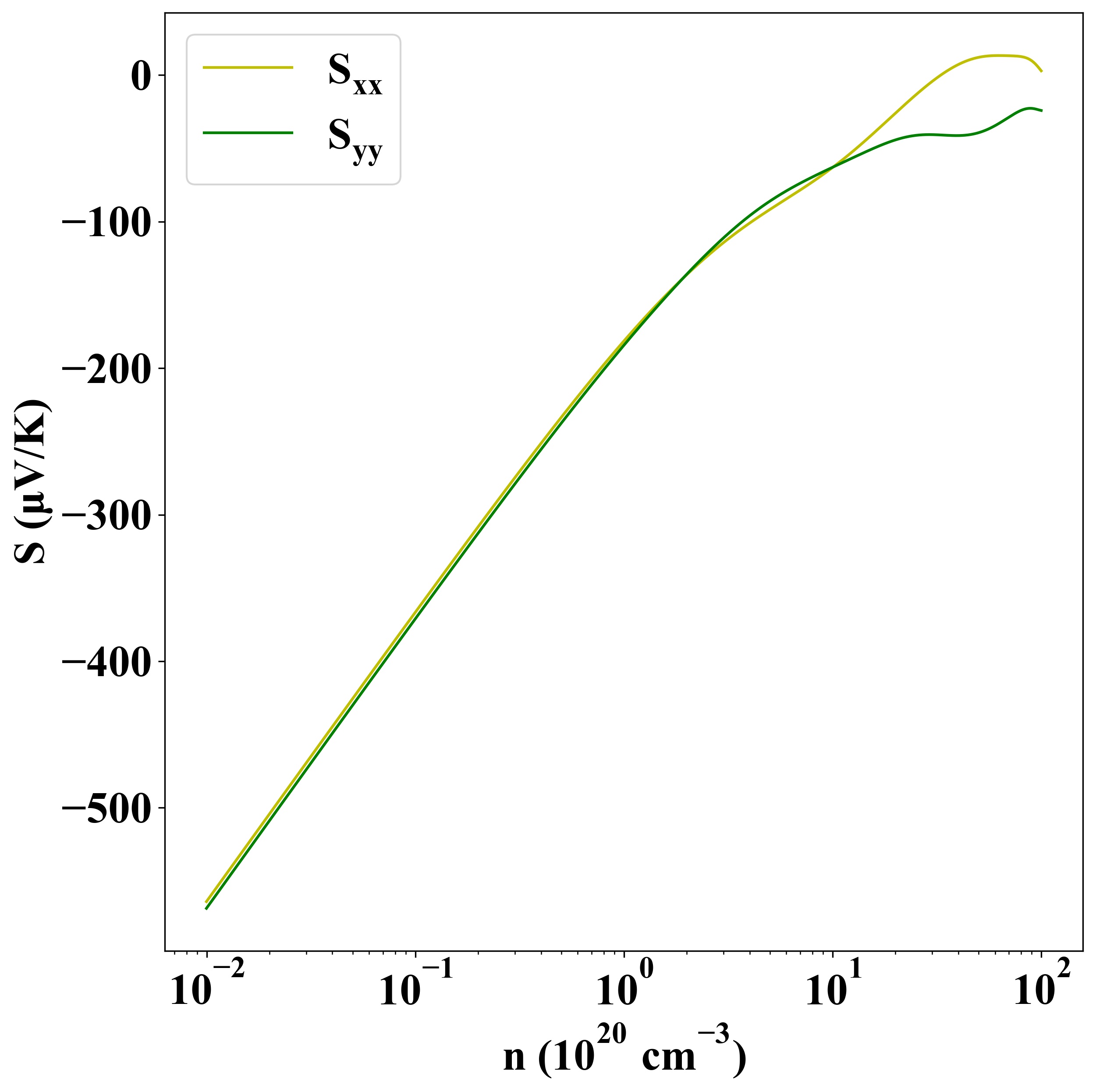
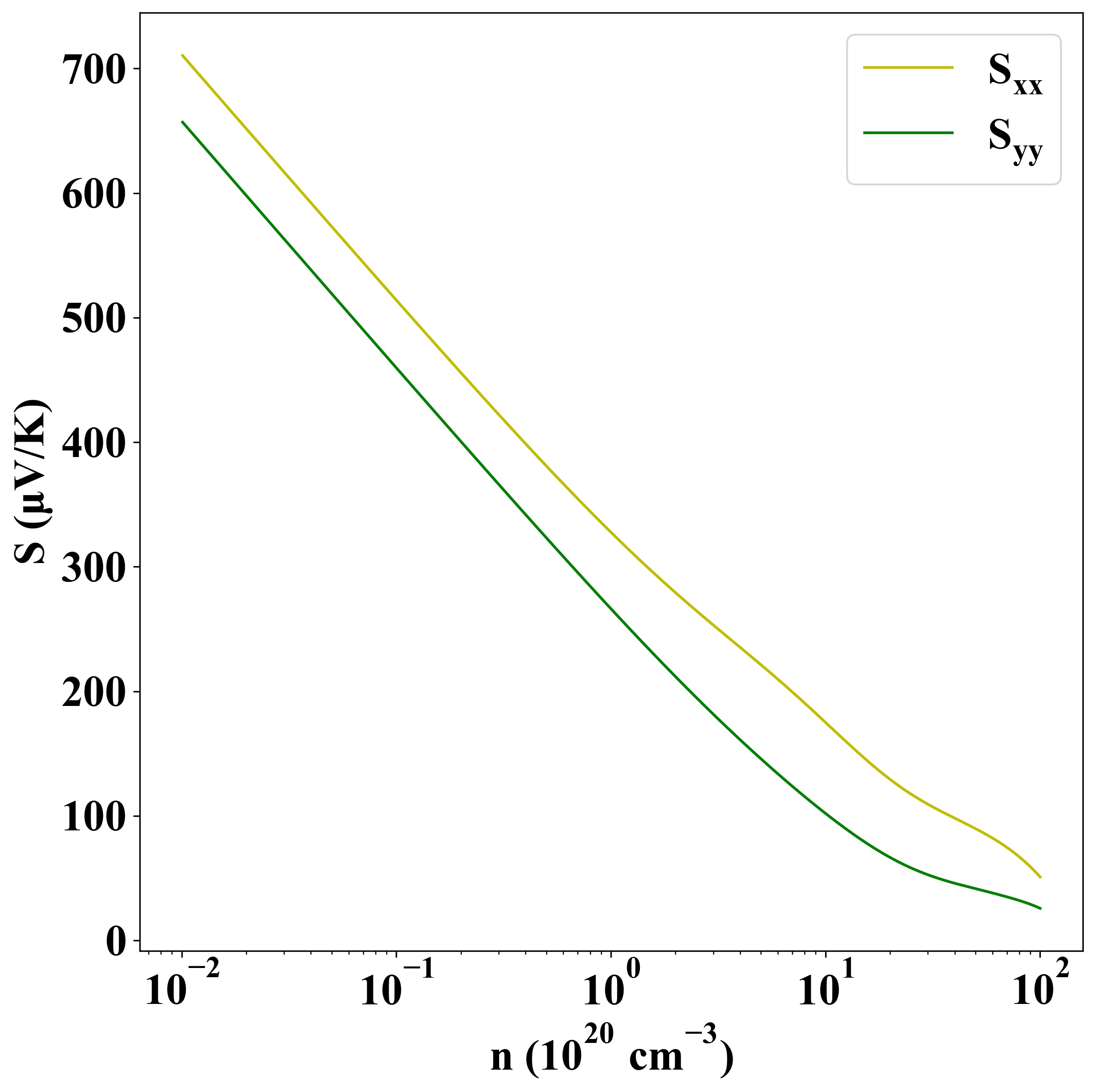
| E-fermi |
-5.717 eV |
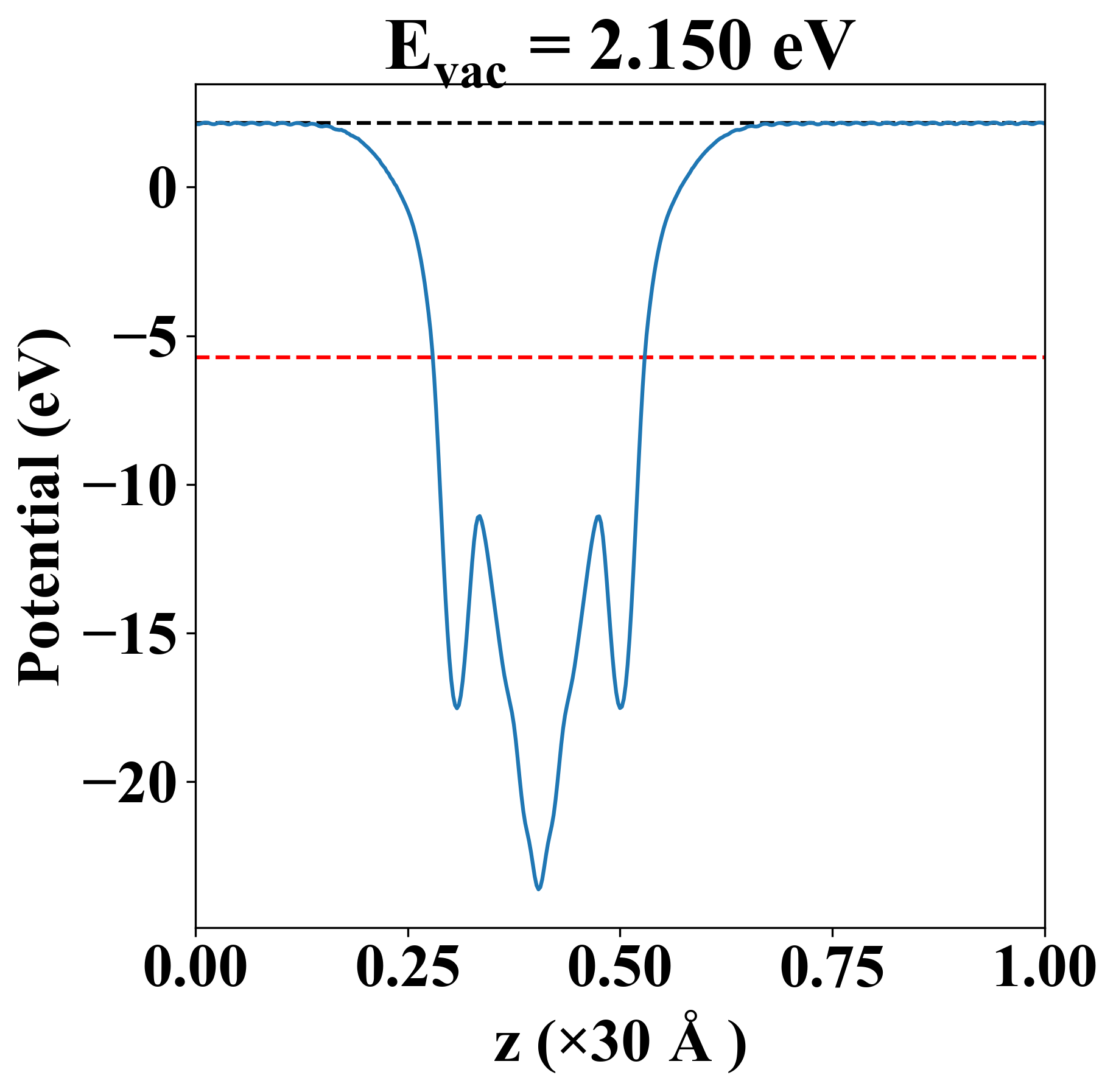
| Vacuum level |
2.150 eV |
| VBM |
-6.044 eV |
| CBM |
-0.721 eV |
| Work function |
7.867 eV |
| Direct gap |
Yes |
| Property |
Value |
| Band gap |
5.30 eV |
| E-fermi |
-5.820 eV |
| VBM |
-6.045 eV |
| CBM |
-0.743 eV |
| Free energy (eV) |
-41.734 |
| Free energy / atom (eV) |
-6.956 |
| Property |
Value |
| Band gap |
5.32 eV |
| E-fermi |
-5.717 eV |
| Vacuum level |
2.150 eV |
| VBM |
-6.044 eV |
| CBM |
-0.721 eV |
| Work function |
7.867 eV |
| Cij (N/m) |
xx |
yy |
xy |
| xx |
104.386 |
24.236 |
0.000 |
| yy |
24.236 |
87.265 |
0.000 |
| xy |
0.000 |
0.000 |
39.697 |
| Phonon mode at Γ point (THz) |
| Property |
Value |
| from where |
JVASP-13529 |