Cl2Cu2Se2
MatHub2d-1311-Cl2Cu2Se2
| Property |
Value |
| Space group |
(59, 'Pmmn') |
| Crystal system |
rectangular |
| Magnetic |
Yes |
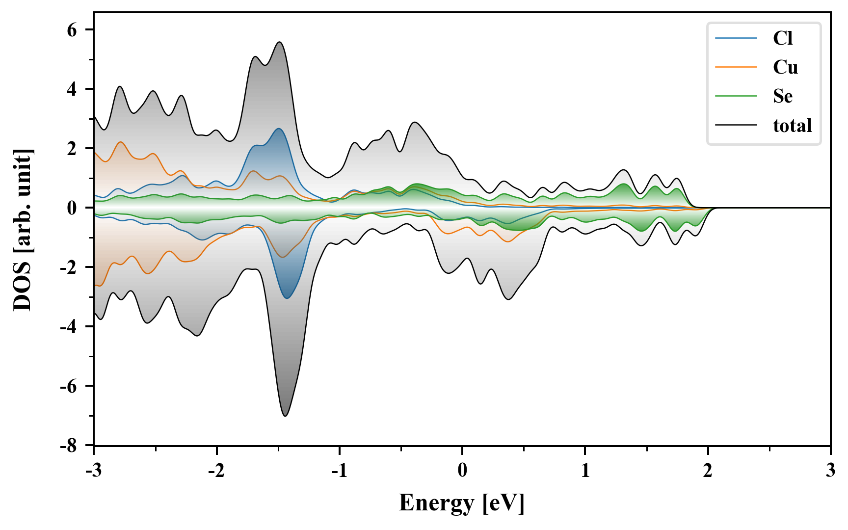
| Band gap (PBE) (eV) |
0.00 |
| Free energy (eV) |
-16.584 |
| Free energy / atom (eV) |
-2.764 |
Lattice Parameters (basic)
| a, b, c (Å): | 3.465 | 4.885 | 30.000 |
| α, β, γ (°): | 90.000 | 90.000 | 90.000 |
Lattice Parameters (computed)
| a, b, c (Å): | 3.445 | 4.829 | 30.000 |
| α, β, γ (°): | 90.000 | 90.000 | 90.000 |
| Property |
Value |
| Band gap |
0.00 eV |
| E-fermi |
-4.135 eV |
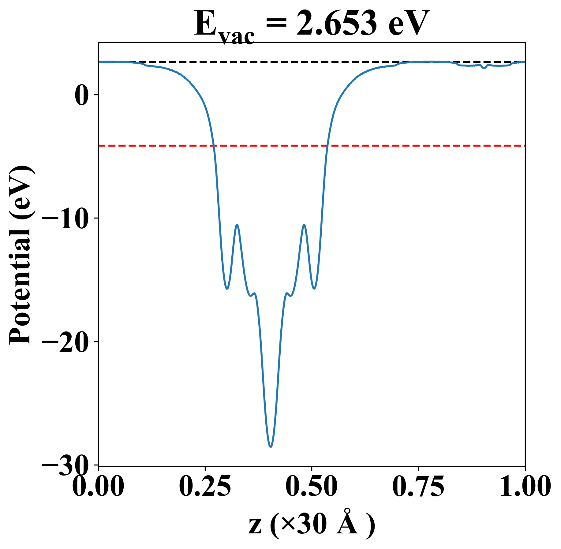
| Vacuum level |
2.653 eV |
| VBM |
-4.135 eV |
| CBM |
-4.135 eV |
| Work function |
6.788 eV |
| Direct gap |
No |
| Property |
Value |
| Band gap |
0.00 eV |
| E-fermi |
-4.135 eV |
| Vacuum level |
2.653 eV |
| VBM |
-4.135 eV |
| CBM |
-4.135 eV |
| Work function |
6.788 eV |
| Cij (N/m) |
xx |
yy |
xy |
| xx |
67.636 |
22.437 |
0.000 |
| yy |
22.437 |
22.435 |
0.000 |
| xy |
0.000 |
0.000 |
0.623 |
| Phonon mode at Γ point (THz) |
| -1.204 |
| -0.153 |
| -0.010 |
| -0.006 |
| -0.005 |
| 0.793 |
| 1.105 |
| 1.449 |
| 2.329 |
| 2.767 |
| 3.014 |
| 3.824 |
| 4.777 |
| 4.827 |
| 7.501 |
| 7.563 |
| 8.168 |
| 8.169 |
| Property |
Value |
| from where |
c2db-102 |