Cl2Cu2S2
MatHub2d-1310-Cl2Cu2S2
| Property |
Value |
| Space group |
(59, 'Pmmn') |
| Crystal system |
rectangular |
| Magnetic |
Yes |
| Band gap (PBE) (eV) |
0.00 |
| Free energy (eV) |
-17.285 |
| Free energy / atom (eV) |
-2.881 |
Lattice Parameters (basic)
| a, b, c (Å): | 3.363 | 4.712 | 30.000 |
| α, β, γ (°): | 90.000 | 90.000 | 90.000 |
Lattice Parameters (computed)
| a, b, c (Å): | 3.355 | 4.660 | 30.000 |
| α, β, γ (°): | 90.000 | 90.000 | 90.000 |
| Property |
Value |
| Band gap |
0.00 eV |
| E-fermi |
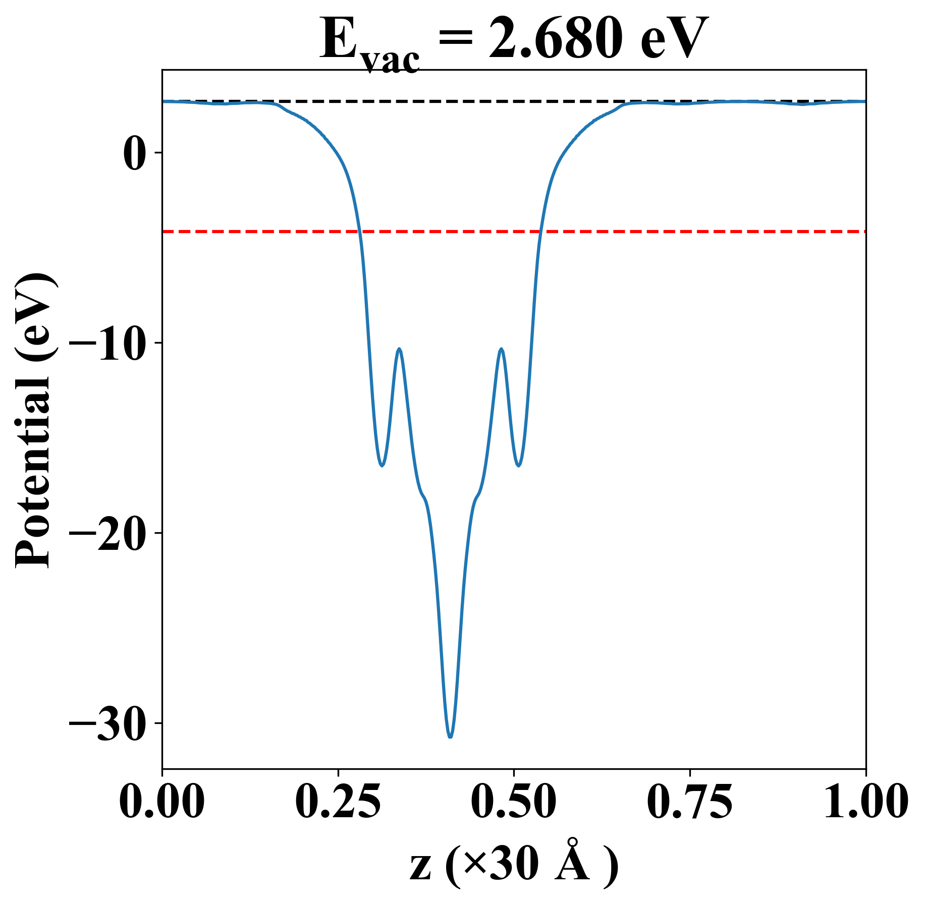
-4.150 eV |
| Vacuum level |
2.680 eV |
| VBM |
-4.151 eV |
| CBM |
-4.149 eV |
| Work function |
6.830 eV |
| Direct gap |
No |
| Property |
Value |
| Band gap |
0.00 eV |
| E-fermi |
-4.150 eV |
| Vacuum level |
2.680 eV |
| VBM |
-4.151 eV |
| CBM |
-4.149 eV |
| Work function |
6.830 eV |
| Cij (N/m) |
xx |
yy |
xy |
| xx |
67.574 |
17.104 |
0.000 |
| yy |
17.104 |
22.557 |
0.000 |
| xy |
0.000 |
0.000 |
-3.432 |
| Phonon mode at Γ point (THz) |
| -1.721 |
| -0.732 |
| -0.013 |
| -0.003 |
| -0.003 |
| 1.183 |
| 1.602 |
| 2.159 |
| 2.474 |
| 3.446 |
| 4.168 |
| 6.315 |
| 6.956 |
| 7.426 |
| 7.953 |
| 7.977 |
| 8.408 |
| 8.599 |
| Property |
Value |
| from where |
c2db-107 |