Cl2Cu2O2
MatHub2d-1309-Cl2Cu2O2
| Property |
Value |
| Space group |
(59, 'Pmmn') |
| Crystal system |
rectangular |
| Magnetic |
Yes |
| Band gap (PBE) (eV) |
0.00 |
| Free energy (eV) |
-20.047 |
| Free energy / atom (eV) |
-3.341 |
Lattice Parameters (basic)
| a, b, c (Å): | 3.225 | 3.805 | 30.000 |
| α, β, γ (°): | 90.000 | 90.000 | 90.000 |
Lattice Parameters (computed)
| a, b, c (Å): | 3.140 | 3.917 | 30.000 |
| α, β, γ (°): | 90.000 | 90.000 | 90.000 |
| Property |
Value |
| Band gap |
0.00 eV |
| E-fermi |
-4.796 eV |
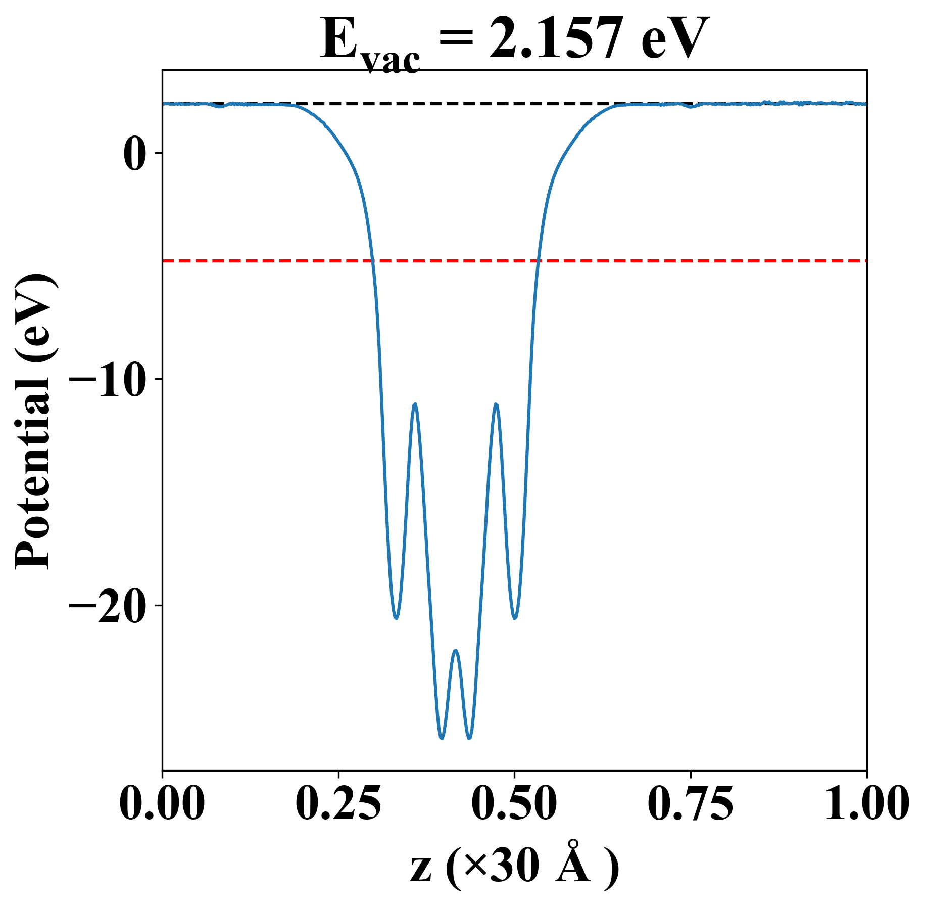
| Vacuum level |
2.157 eV |
| VBM |
-4.796 eV |
| CBM |
-4.796 eV |
| Work function |
6.953 eV |
| Direct gap |
No |
| Property |
Value |
| Band gap |
0.00 eV |
| E-fermi |
-4.796 eV |
| Vacuum level |
2.157 eV |
| VBM |
-4.796 eV |
| CBM |
-4.796 eV |
| Work function |
6.953 eV |
| Cij (N/m) |
xx |
yy |
xy |
| xx |
89.671 |
25.549 |
0.000 |
| yy |
25.549 |
63.996 |
0.000 |
| xy |
0.000 |
0.000 |
23.236 |
| Phonon mode at Γ point (THz) |
| -0.021 |
| -0.017 |
| -0.016 |
| 1.807 |
| 2.281 |
| 3.232 |
| 3.560 |
| 4.656 |
| 6.193 |
| 6.348 |
| 8.264 |
| 8.406 |
| 9.668 |
| 10.630 |
| 10.769 |
| 12.104 |
| 12.232 |
| 15.803 |
| Property |
Value |
| from where |
c2db-101 |