Cl2Cu2N2
MatHub2d-1308-Cl2Cu2N2
| Property |
Value |
| Space group |
(59, 'Pmmn') |
| Crystal system |
rectangular |
| Magnetic |
Yes |
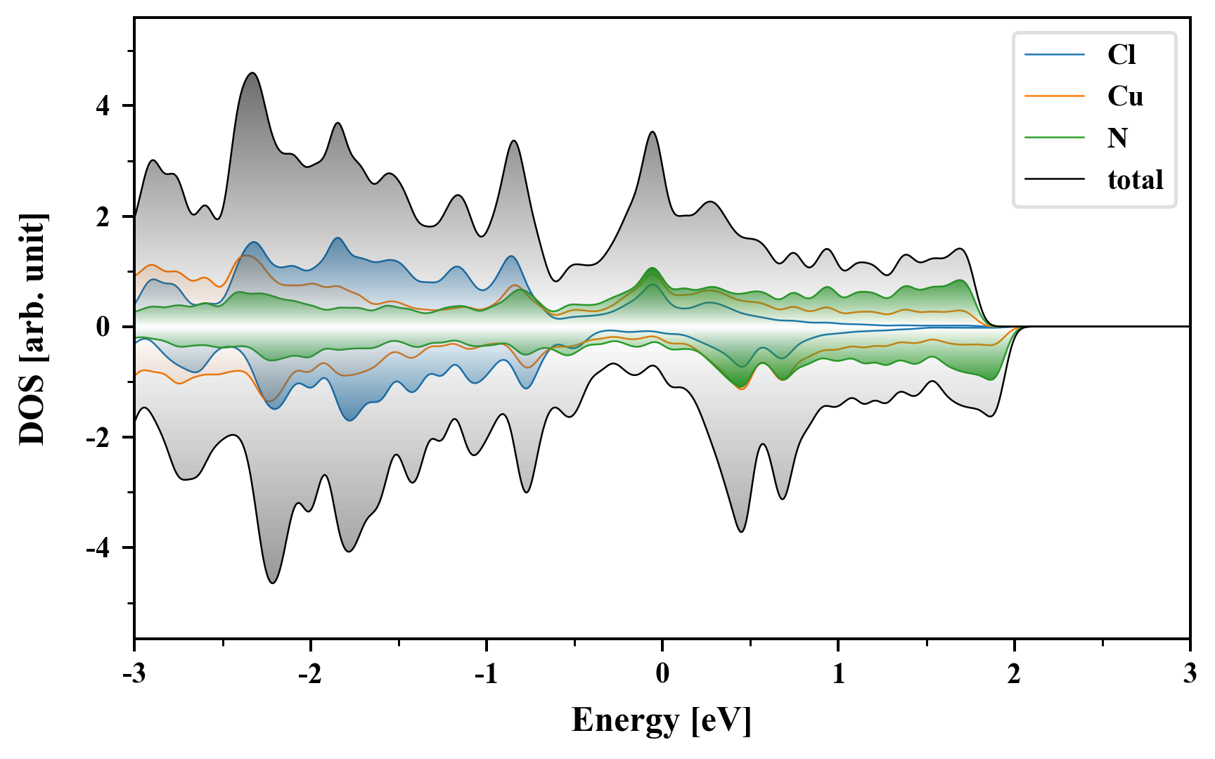
| Band gap (PBE) (eV) |
0.00 |
| Free energy (eV) |
-20.640 |
| Free energy / atom (eV) |
-3.440 |
Lattice Parameters (basic)
| a, b, c (Å): | 3.165 | 3.801 | 30.000 |
| α, β, γ (°): | 90.000 | 90.000 | 90.000 |
Lattice Parameters (computed)
| a, b, c (Å): | 3.150 | 3.779 | 30.000 |
| α, β, γ (°): | 90.000 | 90.000 | 90.000 |
| Property |
Value |
| Band gap |
0.00 eV |
| E-fermi |
-4.201 eV |
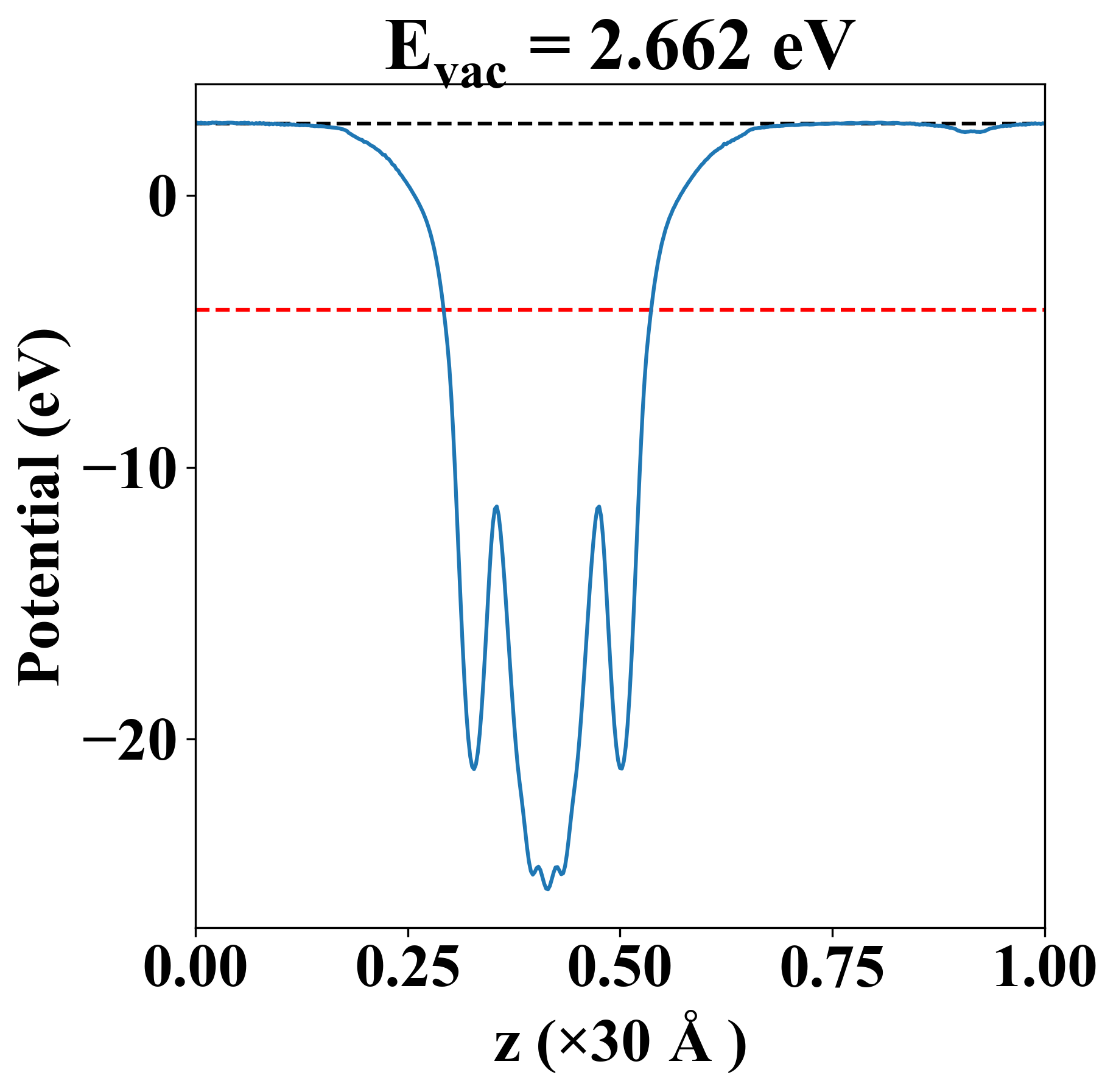
| Vacuum level |
2.662 eV |
| VBM |
-4.201 eV |
| CBM |
-4.199 eV |
| Work function |
6.862 eV |
| Direct gap |
No |
| Property |
Value |
| Band gap |
0.00 eV |
| E-fermi |
-4.201 eV |
| Vacuum level |
2.662 eV |
| VBM |
-4.201 eV |
| CBM |
-4.199 eV |
| Work function |
6.862 eV |
| Cij (N/m) |
xx |
yy |
xy |
| xx |
104.066 |
20.562 |
0.000 |
| yy |
20.562 |
78.732 |
0.000 |
| xy |
0.000 |
0.000 |
5.916 |
| Phonon mode at Γ point (THz) |
| -0.023 |
| -0.020 |
| -0.001 |
| 1.755 |
| 2.781 |
| 3.177 |
| 3.858 |
| 5.555 |
| 5.880 |
| 6.780 |
| 8.541 |
| 8.563 |
| 11.928 |
| 12.529 |
| 12.671 |
| 12.815 |
| 14.409 |
| 14.775 |
| Property |
Value |
| from where |
c2db-100 |