Cl2Cr2Se2
MatHub2d-1307-Cl2Cr2Se2
| Property |
Value |
| Space group |
(59, 'Pmmn') |
| Crystal system |
rectangular |
| Magnetic |
Yes |
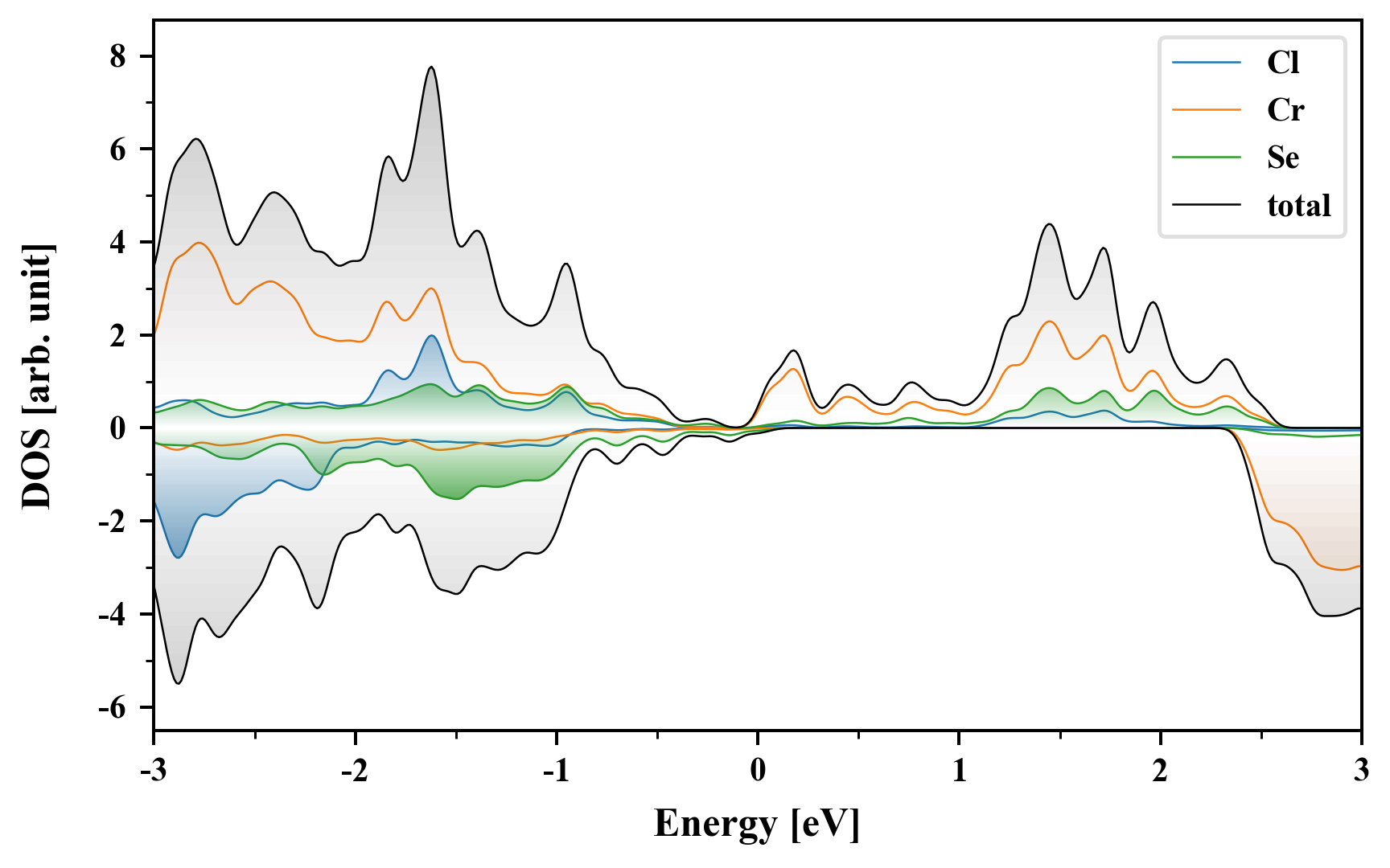
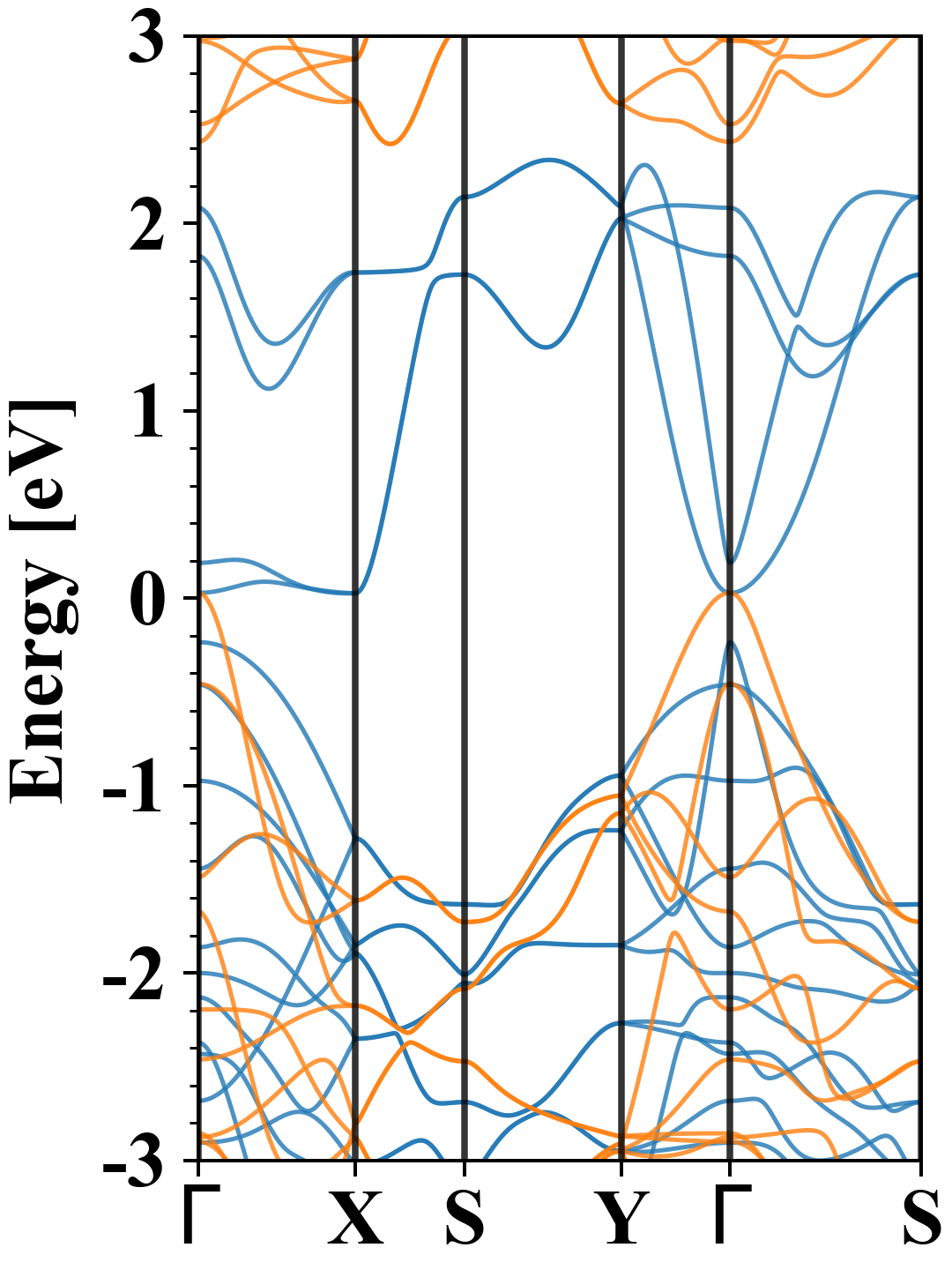
| Band gap (PBE) (eV) |
0.00 |
| Free energy (eV) |
-30.359 |
| Free energy / atom (eV) |
-5.060 |
Lattice Parameters (basic)
| a, b, c (Å): | 3.536 | 5.043 | 30.000 |
| α, β, γ (°): | 90.000 | 90.000 | 90.000 |
Lattice Parameters (computed)
| a, b, c (Å): | 3.574 | 5.148 | 30.000 |
| α, β, γ (°): | 90.000 | 90.000 | 90.000 |
| Property |
Value |
| Band gap |
0.00 eV |
| E-fermi |
-3.941 eV |
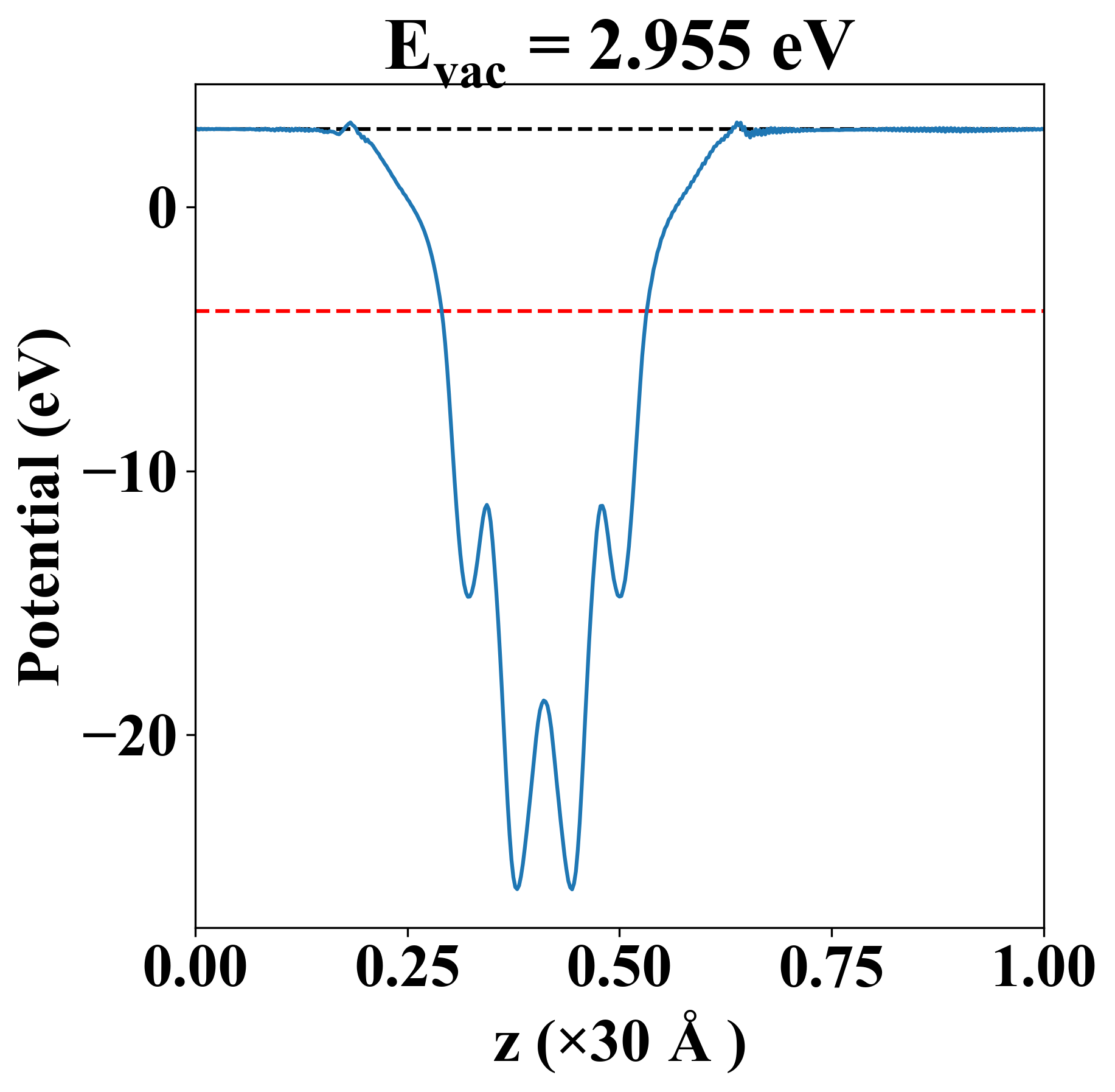
| Vacuum level |
2.955 eV |
| VBM |
-3.943 eV |
| CBM |
-3.941 eV |
| Work function |
6.896 eV |
| Direct gap |
No |
| Property |
Value |
| Band gap |
0.00 eV |
| E-fermi |
-3.941 eV |
| Vacuum level |
2.955 eV |
| VBM |
-3.943 eV |
| CBM |
-3.941 eV |
| Work function |
6.896 eV |
| Property |
Value |
| from where |
c2db-85 |