Cl2Cr2S2
MatHub2d-1306-Cl2Cr2S2
| Property |
Value |
| Space group |
(59, 'Pmmn') |
| Crystal system |
rectangular |
| Magnetic |
Yes |
| Band gap (PBE) (eV) |
0.85 |
| Free energy (eV) |
-32.197 |
| Free energy / atom (eV) |
-5.366 |
Lattice Parameters (basic)
| a, b, c (Å): | 3.445 | 4.774 | 30.000 |
| α, β, γ (°): | 90.000 | 90.000 | 90.000 |
Lattice Parameters (computed)
| a, b, c (Å): | 3.493 | 4.849 | 30.000 |
| α, β, γ (°): | 90.000 | 90.000 | 90.000 |
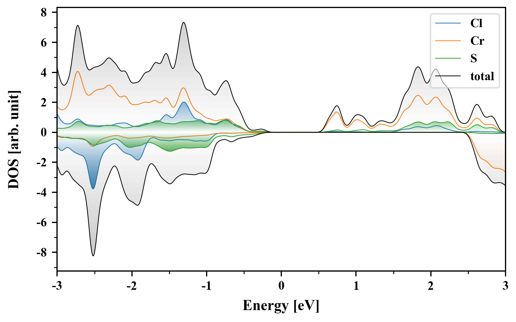
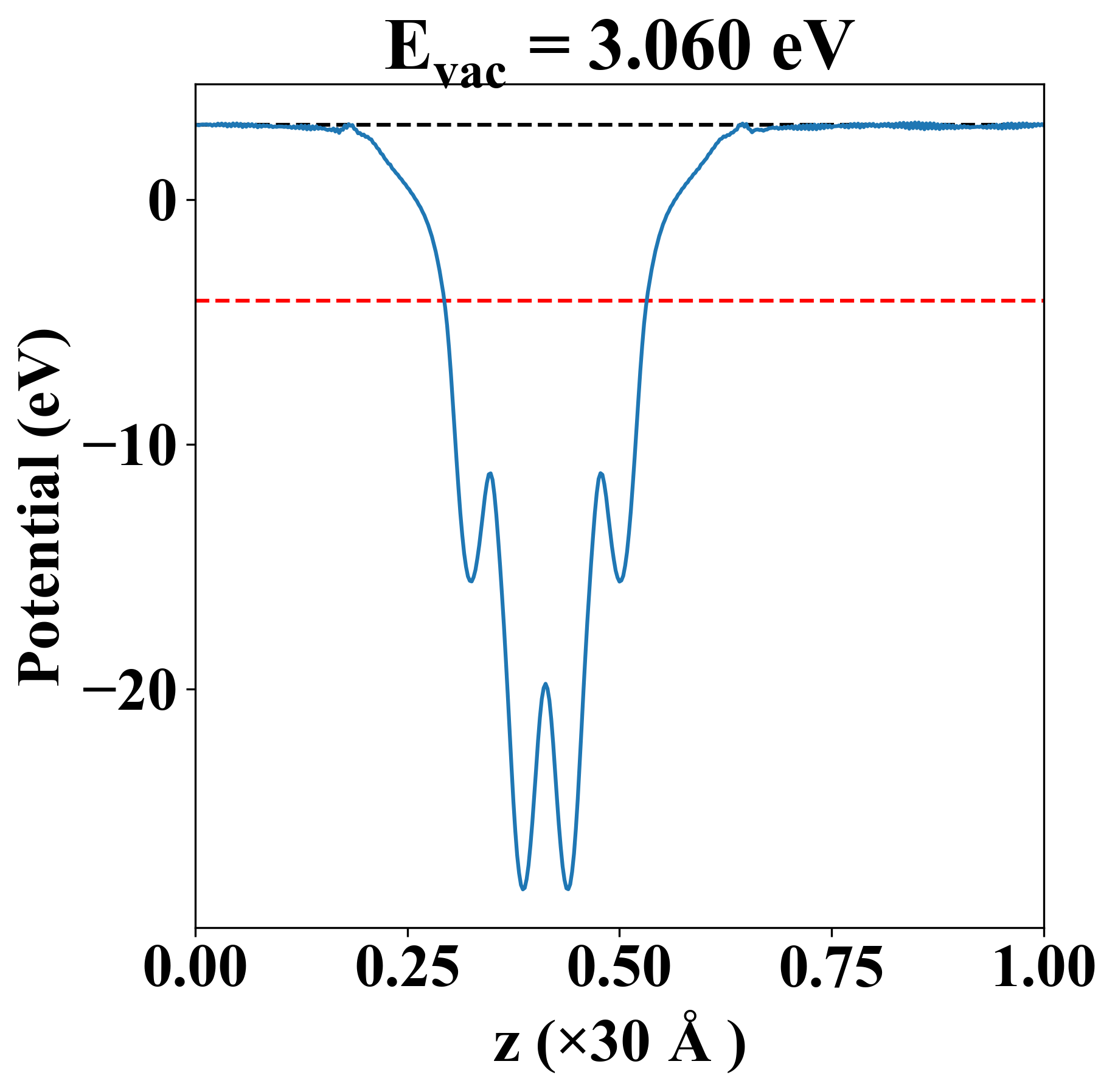
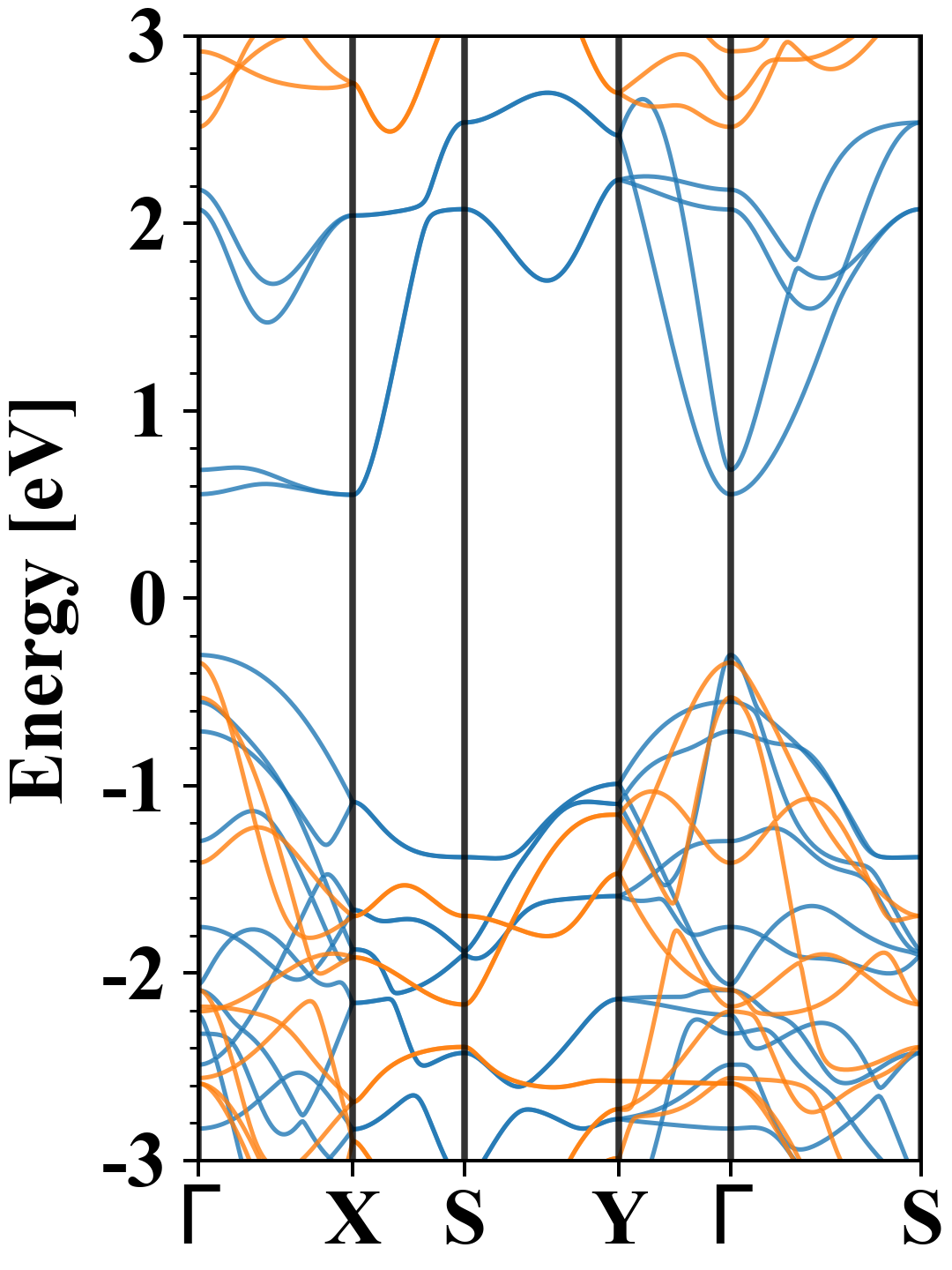
| Property |
Value |
| Band gap |
0.85 eV |
| E-fermi |
-4.122 eV |
| Vacuum level |
3.060 eV |
| VBM |
-4.425 eV |
| CBM |
-3.571 eV |
| Work function |
7.182 eV |
| Direct gap |
No |
| Property |
Value |
| Band gap |
0.84 eV |
| E-fermi |
-4.135 eV |
| VBM |
-4.423 eV |
| CBM |
-3.584 eV |
| Free energy (eV) |
-32.226 |
| Free energy / atom (eV) |
-5.371 |
| Property |
Value |
| Band gap |
0.85 eV |
| E-fermi |
-4.122 eV |
| Vacuum level |
3.060 eV |
| VBM |
-4.425 eV |
| CBM |
-3.571 eV |
| Work function |
7.182 eV |
| Cij (N/m) |
xx |
yy |
xy |
| xx |
-7.545 |
-88.987 |
0.000 |
| yy |
-88.987 |
-126.120 |
0.000 |
| xy |
0.000 |
0.000 |
14.123 |
| Phonon mode at Γ point (THz) |
| Property |
Value |
| from where |
c2db-82 |