Cl2Cr2O2
MatHub2d-1305-Cl2Cr2O2
| Property |
Value |
| Space group |
(59, 'Pmmn') |
| Crystal system |
rectangular |
| Magnetic |
Yes |
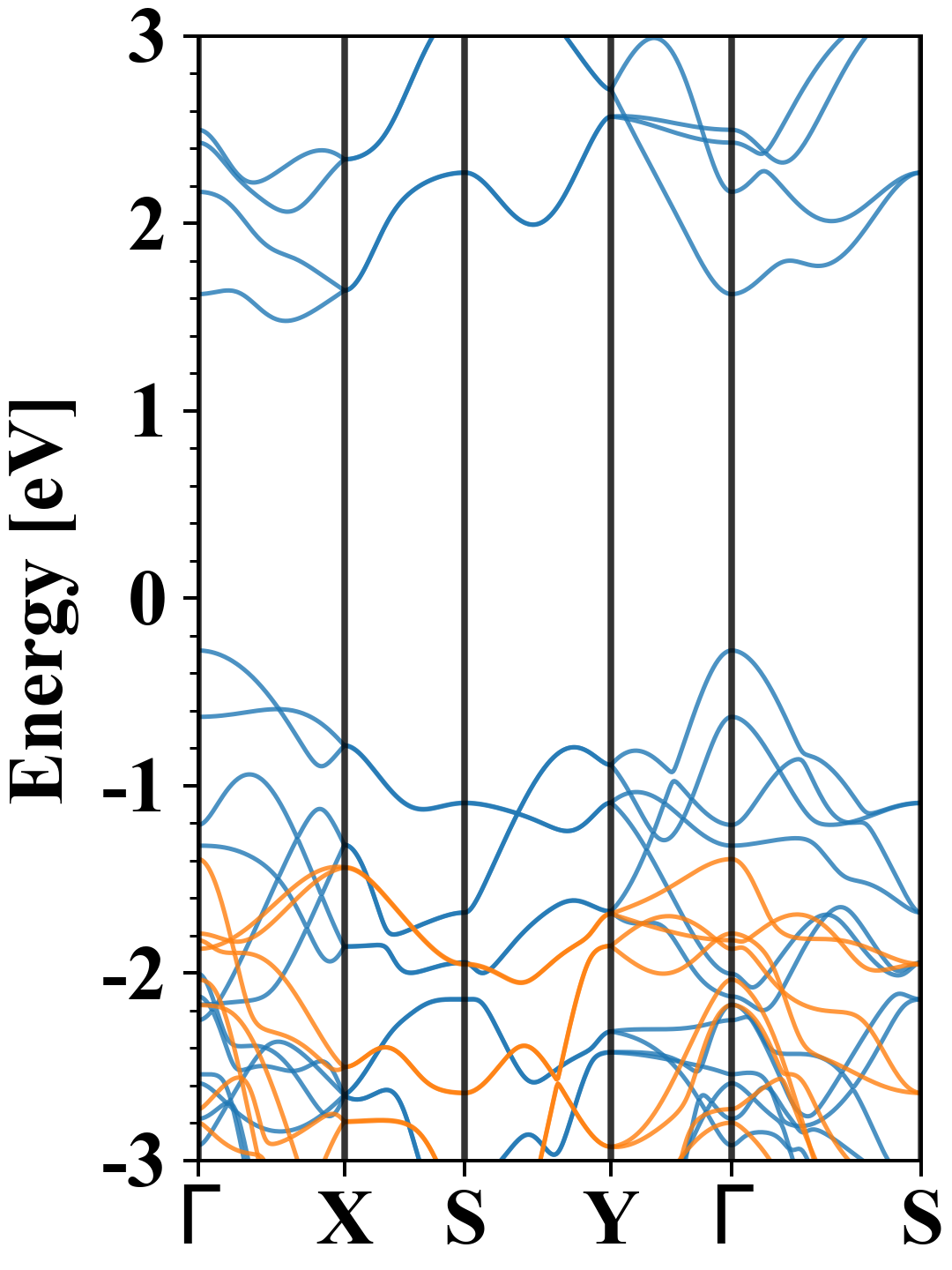
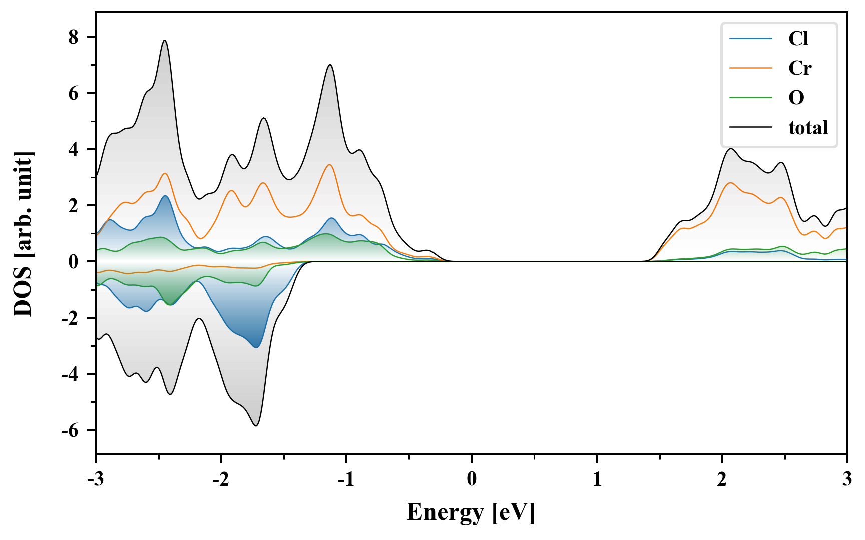
| Band gap (PBE) (eV) |
1.76 |
| Free energy (eV) |
-38.141 |
| Free energy / atom (eV) |
-6.357 |
Lattice Parameters (basic)
| a, b, c (Å): | 3.213 | 3.920 | 30.000 |
| α, β, γ (°): | 90.000 | 90.000 | 90.000 |
Lattice Parameters (computed)
| a, b, c (Å): | 3.248 | 3.934 | 30.000 |
| α, β, γ (°): | 90.000 | 90.000 | 90.000 |
| Property |
Value |
| Band gap |
1.76 eV |
| E-fermi |
-4.225 eV |
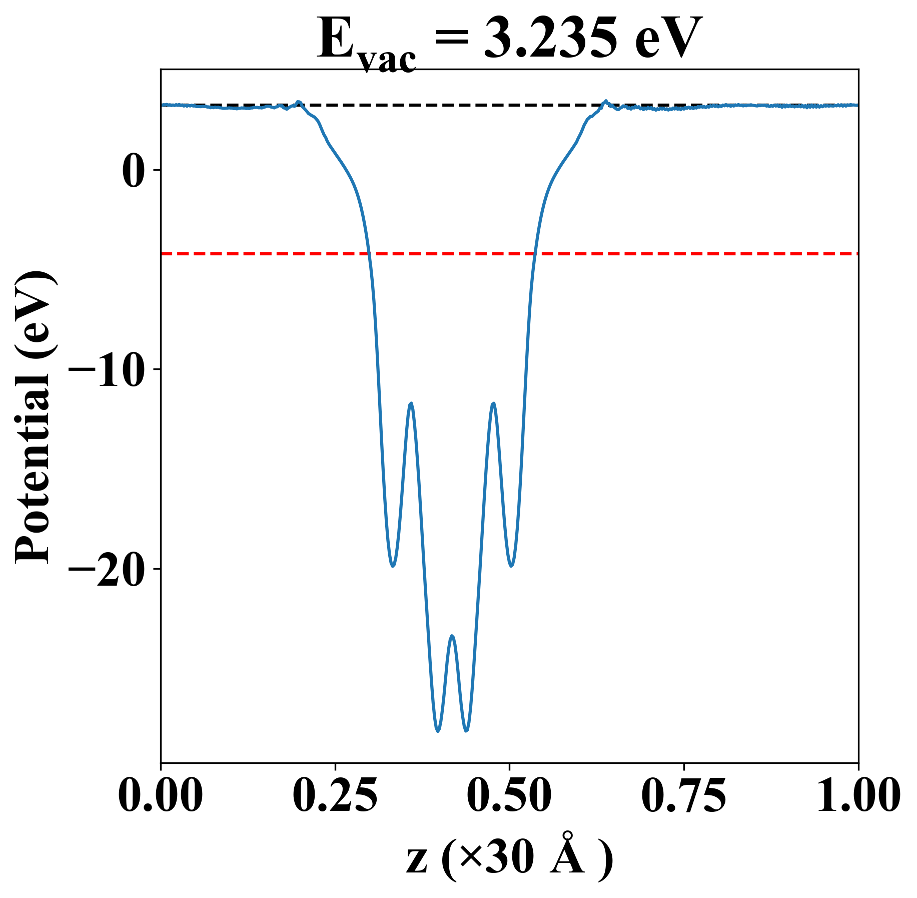
| Vacuum level |
3.235 eV |
| VBM |
-4.504 eV |
| CBM |
-2.746 eV |
| Work function |
7.461 eV |
| Direct gap |
No |
| Property |
Value |
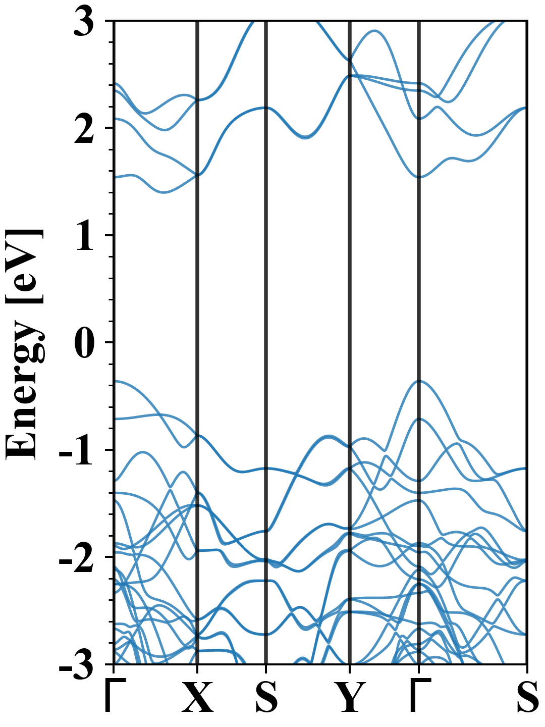
| Band gap |
1.76 eV |
| E-fermi |
-4.151 eV |
| VBM |
-4.512 eV |
| CBM |
-2.754 eV |
| Free energy (eV) |
-38.169 |
| Free energy / atom (eV) |
-6.362 |
| Property |
Value |
| Band gap |
1.76 eV |
| E-fermi |
-4.225 eV |
| Vacuum level |
3.235 eV |
| VBM |
-4.504 eV |
| CBM |
-2.746 eV |
| Work function |
7.461 eV |
| Cij (N/m) |
xx |
yy |
xy |
| xx |
32.118 |
-6.166 |
0.000 |
| yy |
-6.166 |
43.118 |
0.000 |
| xy |
0.000 |
0.000 |
5.454 |
| Phonon mode at Γ point (THz) |
| Property |
Value |
| from where |
c2db-80 |