Cl2Co2S2
MatHub2d-1302-Cl2Co2S2
| Property |
Value |
| Space group |
(59, 'Pmmn') |
| Crystal system |
rectangular |
| Magnetic |
No |
| Band gap (PBE) (eV) |
0.42 |
| Free energy (eV) |
-21.811 |
| Free energy / atom (eV) |
-3.635 |
Lattice Parameters (basic)
| a, b, c (Å): | 3.309 | 4.439 | 30.000 |
| α, β, γ (°): | 90.000 | 90.000 | 90.000 |
Lattice Parameters (computed)
| a, b, c (Å): | 3.294 | 4.493 | 30.000 |
| α, β, γ (°): | 90.000 | 90.000 | 90.000 |
| Property |
Value |
| Band gap |
0.42 eV |
| E-fermi |
-3.712 eV |
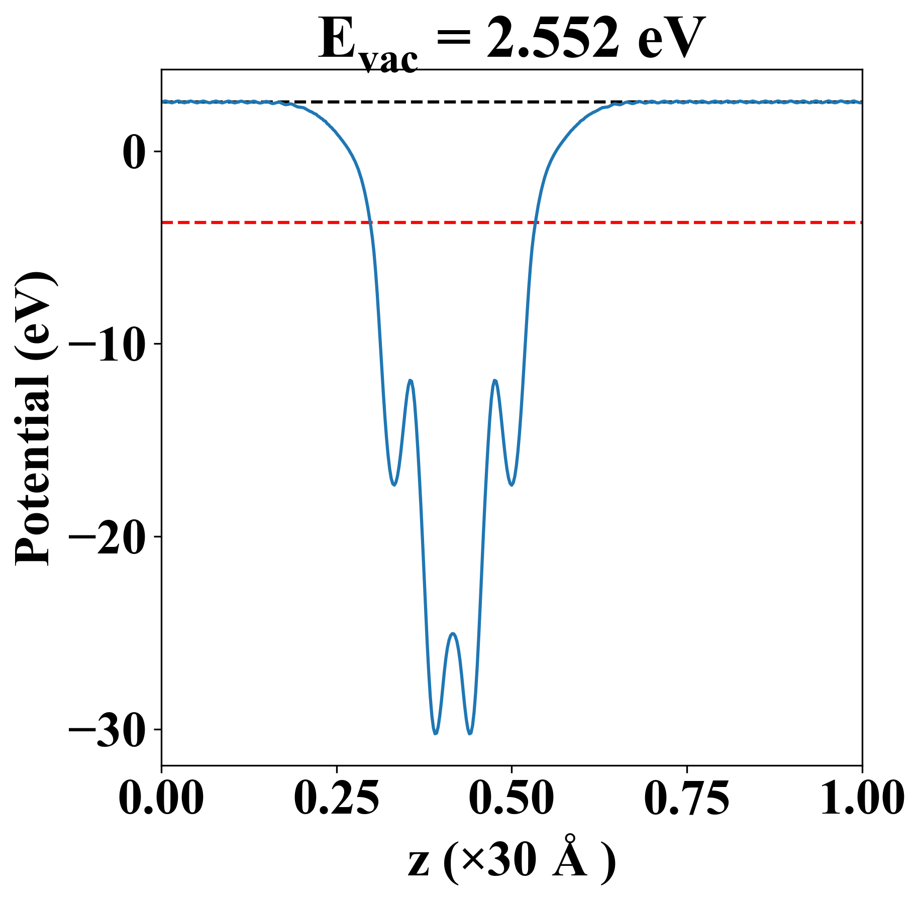
| Vacuum level |
2.552 eV |
| VBM |
-3.916 eV |
| CBM |
-3.500 eV |
| Work function |
6.264 eV |
| Direct gap |
Yes |
| Property |
Value |
| Band gap |
0.42 eV |
| E-fermi |
-3.712 eV |
| Vacuum level |
2.552 eV |
| VBM |
-3.916 eV |
| CBM |
-3.500 eV |
| Work function |
6.264 eV |
| Cij (N/m) |
xx |
yy |
xy |
| xx |
110.447 |
13.847 |
0.000 |
| yy |
13.847 |
99.415 |
0.000 |
| xy |
0.000 |
0.000 |
26.048 |
| Phonon mode at Γ point (THz) |
| -0.011 |
| -0.009 |
| -0.003 |
| 2.309 |
| 3.320 |
| 3.332 |
| 5.050 |
| 6.557 |
| 6.615 |
| 6.682 |
| 6.859 |
| 8.685 |
| 8.897 |
| 9.856 |
| 10.306 |
| 10.325 |
| 10.518 |
| 10.917 |
| Property |
Value |
| from where |
c2db-64 |