Cl2Co2O2
MatHub2d-1301-Cl2Co2O2
| Property |
Value |
| Space group |
(59, 'Pmmn') |
| Crystal system |
rectangular |
| Magnetic |
Yes |
| Band gap (PBE) (eV) |
0.00 |
| Free energy (eV) |
-26.748 |
| Free energy / atom (eV) |
-4.458 |
Lattice Parameters (basic)
| a, b, c (Å): | 3.074 | 3.751 | 30.000 |
| α, β, γ (°): | 90.000 | 90.000 | 90.000 |
Lattice Parameters (computed)
| a, b, c (Å): | 3.337 | 3.705 | 30.000 |
| α, β, γ (°): | 90.000 | 90.000 | 90.000 |
| Property |
Value |
| Band gap |
0.00 eV |
| E-fermi |
-4.776 eV |
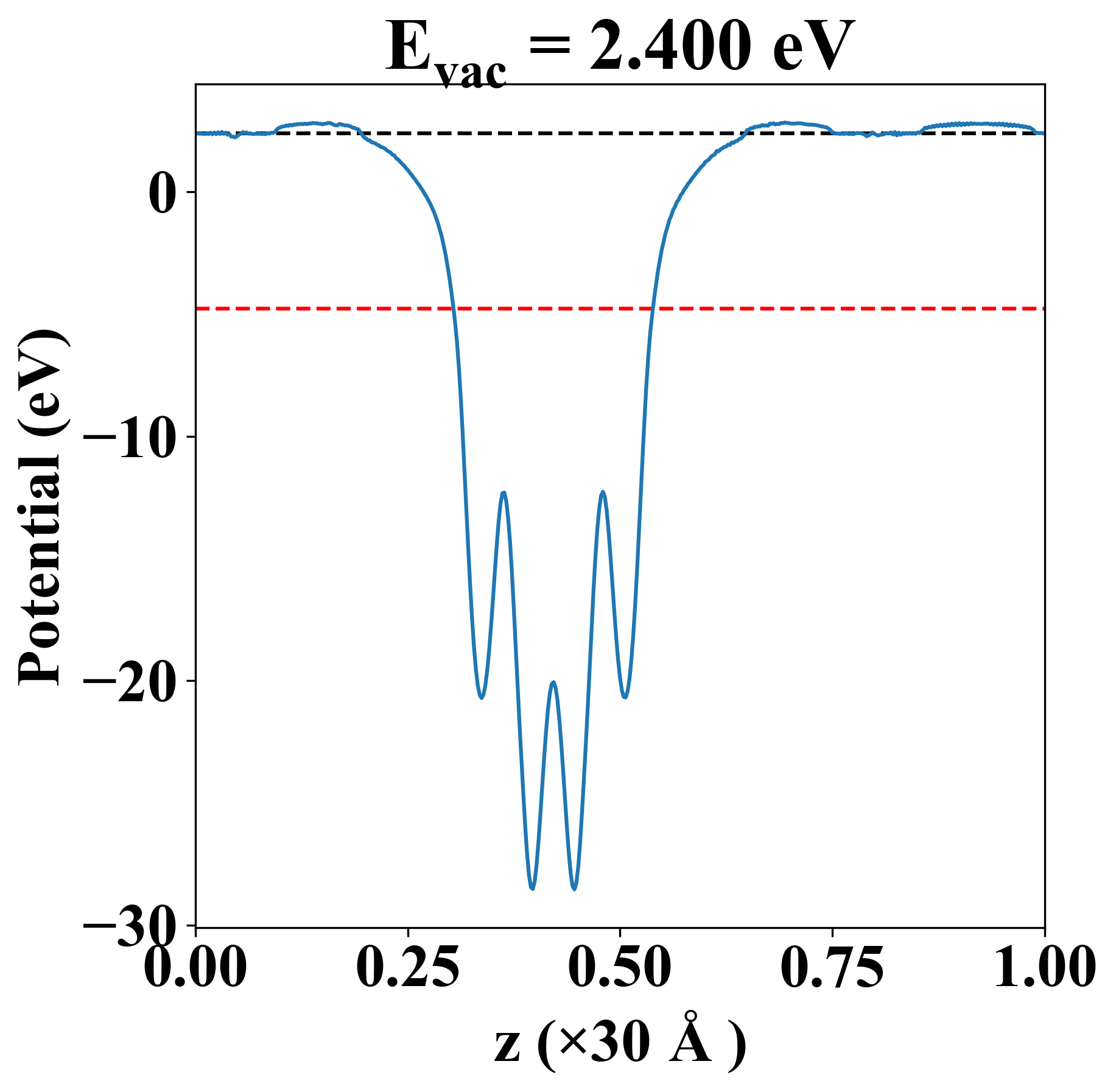
| Vacuum level |
2.400 eV |
| VBM |
-5.070 eV |
| CBM |
-4.175 eV |
| Work function |
7.176 eV |
| Direct gap |
No |
| Property |
Value |
| Band gap |
0.89 eV |
| E-fermi |
-4.788 eV |
| VBM |
-5.072 eV |
| CBM |
-4.183 eV |
| Free energy (eV) |
-26.775 |
| Free energy / atom (eV) |
-4.463 |
| Property |
Value |
| Band gap |
0.00 eV |
| E-fermi |
-4.776 eV |
| Vacuum level |
2.400 eV |
| VBM |
-5.070 eV |
| CBM |
-4.175 eV |
| Work function |
7.176 eV |
| Cij (N/m) |
xx |
yy |
xy |
| xx |
69.616 |
59.044 |
0.000 |
| yy |
59.044 |
126.710 |
0.000 |
| xy |
0.000 |
0.000 |
40.907 |
| Phonon mode at Γ point (THz) |
| Property |
Value |
| from where |
c2db-63 |